Dokumentets metadata

Dokumentets dato:03-10-2024
Offentliggjort:28-02-2025
SKM-nr:SKM2025.110.BR
Journalnr.:BS-17079/2023-HBK
Referencer.:Momsloven
Kildeskatteloven
Opkrævningsloven
Dokumenttype:Dom


Underleverandører - fradrag for købsmoms - A-skat og AM-bidrag

Sagens tvistepunkt var, om sagsøgeren havde anvendt underleverandører eller egne ansatte til at levere arbejdsydelser til sine kunder. Retten gav Skatteministeriet medhold i, at sagsøgeren ikke havde løftet den skærpede bevisbyrde for, at selskabet havde anvendt underleverandører. Retten lagde til grund, at arbejdet i stedet var udført af sagsøgerens egne ansatte, og at selskabet havde haft lønudbetalinger, som der ikke var indeholdt A-skatter og AM-bidrag af. Retten fandt, at skattemyndighederne med rette havde nægtet sagsøgeren et momsmæssigt fradrag for indkøb af underleverandørydelser, og sagsøgeren var ansvarlig for betaling af de ikke-indeholdte A-skatter og AM-bidrag, som skattemyndighederne skønsmæssigt havde opgjort. Skatteministeriet blev på den baggrund frifundet.


Appelliste22-0025656 22-0026186

Sag BS-17079/2023-HBK

Parter

H1

(v/ advokat Søren Aagaard)

mod

Skatteministeriet

(v/ advokat Malthe Gade Jeppesen)

Denne afgørelse er truffet af dommer Peder Johs. Christensen.

Dommen indeholder ikke en fuldstændig sagsfremstilling, jf. retsplejelovens § 218 a, stk. 2.

Sagens baggrund og parternes påstande

Denne sag, der er anlagt den 29. marts 2023, af sagsøgeren, H1, mod sagsøgte, Skatteministeriet, drejer sig om sagsøgerens ret til fradrag for købsmoms i en periode fra den 1. oktober 2018 til den 31. december 2019 og om sagsøgerens ansvar for manglende indeholdt A-skat og arbejdsmarkedsbidrag med henholdsvis 2.774.859 kr. og 438.708 i samme periode.

H1 har nedlagt følgende påstande:

"Principalt sideordnet:

1. Sagsøgte tilpligtes at anerkende at sagsøgtes forhøjelse af sagsøgers momstilsvar for perioden fra den 1. oktober 2018 til den 31. december 2019 med i alt 1.384.325 kr. nedsættes til kr. 13.341.

2. Sagsøgte tilpligtes at anerkende at sagsøgtes forhøjelse af sagsøgers indeholdelsespligtige henholdsvis A-skat med 288.579 kr. og AM-bidrag med 45.624 kr. for perioden fra den 1. oktober 2018 til den 31. december 2018 nedsættes til kr. 0.

3. Sagsøgte tilpligtes at anerkende at sagsøgtes forhøjelse af sagsøgers indeholdelsespligtige henholdsvis A-skat med 2.486.280 kr. og AM-bidrag med 393.084 kr. for perioden fra den 1. januar 2019 til den 31. december 2019 nedsættes til kr. 0.

Subsidiært:

Sagen hjemvises til fornyet behandling hos Skattemyndighederne."

Skatteministeriet har påstået frifindelse.

Oplysningerne i sagen

Ved en kendelse af 17. februar 2023 traf Landsskatteretten afgørelse vedrørende sagsøgerens momstilsvar. I kendelsen er det anført:

"Klagen skyldes, at Skattestyrelsen har forhøjet selskabets momstilsvar med i alt 1.384.325 kr. for perioden fra den 1. oktober 2018 til den 31. december 2019. Forhøjelsen skyldes nægtelse af fradrag for købsmoms for selskabets udgifter til underleverandører og udgifter som er den afgiftspligtige virksomhed uvedkommende.

Landsskatteretten stadfæster Skattestyrelsens afgørelse.

Faktiske oplysninger

H1, herefter selskabet, er drevet og stiftet af IA den (red.fjernet.dato1) under branchekoden 411000 "gennemførelse af byggeprojekter". Selskabet har til formål at "drive virksomhed med fremme og udvikling de særlige håndværkets og industriens tarv ved alle de midler, erhvervsinteresser og service, samt med kompetencer, der knytter sig til drift af virksomheden" Den (red.fjernet.dato2) skiftede selskabet selskabsform fra IVS til ApS.

Selskabet har i den angivne periode været registreret med ansatte således:

Periode Antal ansatte Årsværk
4. kvartal 2018 5-9 2-4
1. kvartal 2019 2-4 2-4
2. kvartal 2019 5-9 2-4
3. kvartal 2019 5-9 2-4
Oktober 2019 5 2
November 2019 2 1,24
December 2019 2 1,29

Selskabet er momsregistreret fra stiftelsesdatoen.

Skattestyrelsen har oplyst, at det af selskabets regnskabsgrundlag ses, at de altovervejende indtægter kommer fra G1-virksomhed, og hovedparten af udgifterne vedrører udgifter til underleverandører.

Skattestyrelsen har i forbindelse med kontrol af selskabets regnskaber fundet anledning til at se nærmere på selskabets momstilsvar, hvorfor Skattestyrelsen har indhentet materialer, herunder selskabets kontoudtog i F1-bank den 23. december 2021.

Som følge heraf har Skattestyrelsen forhøjet selskabets momstilsvar med i alt 1.384.325 kr. for perioden fra den 1. oktober 2018 til og med den 31. december 2019, hvorved perioden 4. kvartal 2018 og 1.-4. kvartal 2019 er korrigeret som følgende:

Skattestyrelsens forhøjelse skyldes regulering af selskabets købsmoms, idet Skattestyrelsen har nægtet fradrag for udgifter til de angivne fakturaer for udgifter til fremmed arbejde fra nedenstående underleverandører og driftsomkostninger.

For så vidt angår underleverandører og omtalte fakturaer gør følgende forhold sig gældende:

G2-virksomhed, cvr-nr. ...11, herefter G2-virksomhed, blev stiftet den (red.fjernet.dato3) af IC. G2-virksomhed skiftede den (red.fjernet.dato9) virksomhedsnavn fra G2-virksomhed til G2-virksomhed, hvorfor G2-virksomhed i perioden fra den 19. juni 2017 til og med den 7. juni 2019 havde virksomhedsnavnet G2-virksomhed. I perioden fra den 26. november 2016 til og med den 7. juni 2019 var G2-virksomhed registreret med branchekoden 432200 "VVS- og blikkenslagerforretninger", hvorefter G2-virksomhed er registreret med branchekoden 620100 "computerprogrammering". Fra den 3. maj 2019 til og med den (red.fjernet.dato9) var G2-virksomhed tillige registreret med bibranchen 620100 "computerprogrammering", hvorefter G2-virksomhed er registreret med bibranchen 452010 "autoreparationsværksteder mv.". Fra den 19. juni 2017 er formålet med G2-virksomhed "projektering, produktion og montering af ventilationsanlæg og dermed beslægtet virksomhed.".

G2-virksomhed er opløst efter konkurs og er ophørt den (red.fjernet.dato4).

Selskabet har fremlagt 12 fakturaer fra G2-virksomhed, herunder 5 i 2018 og 7 i 2019, som Skattestyrelsen har nægtet fradrag for. Fakturaerne udgør som følgende:

På samtlige af ovenfor listede fakturaer, er der på fakturaen anført forskelligt tekst og bogstaver, herunder eksempelvis "frem.hj." og "(red.fjernet.fakturanavn)".

Skattestyrelsen har nægtet selskabet fradrag for den anførte moms på i alt 142.579,50 kr., for udgifter til G2-virksomhed i 2018 og i alt 164.786 kr. for udgifter til G2-virksomhed i 2019.

Skattestyrelsen har oplyst, at det på fakturaerne fra G2-virksomhed i 2018 fremgår, at betaling skal ske til bankkonto X1-konto, der er ejet af IC. Af fakturaerne fra G2-virksomhed i 2019 fremgår, at betaling skal ske til fem andre konti, der ikke er ejet af IC eller G2-virksomhed.

Derudover har Skattestyrelsen oplyst, at G2-virksomhed ikke har afholdt udgifter til løn, der gør det muligt at levere de fakturerede ydelser. G2-virksomhed har ikke været registreret med ansatte.

Der er ikke fremlagt samarbejdsaftale, timesedler, korrespondance eller anden direkte specifikation i tillæg til de fremlagte fakturaer.

G3-virksomhed, cvr-nr. ...12, herefter G3-virksomhed, blev stiftet den (red.fjernet.dato7) af IE under branchekoden 433900 "anden bygningsfærdiggørelse" og bibrancherne 811000 "kombinerede serviceydelser" og 461900 "agenturhandel med blandet sortiment". G3-virksomhed har til formål "at udøve virksomhed med anden bygningsfærdiggørelse, samt aktiviteter tilknyttet hertil". G3-virksomhed er under tvangsopløsning og konkursdekret blev afsagt den 12. marts 2021.

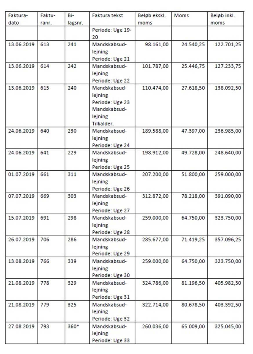
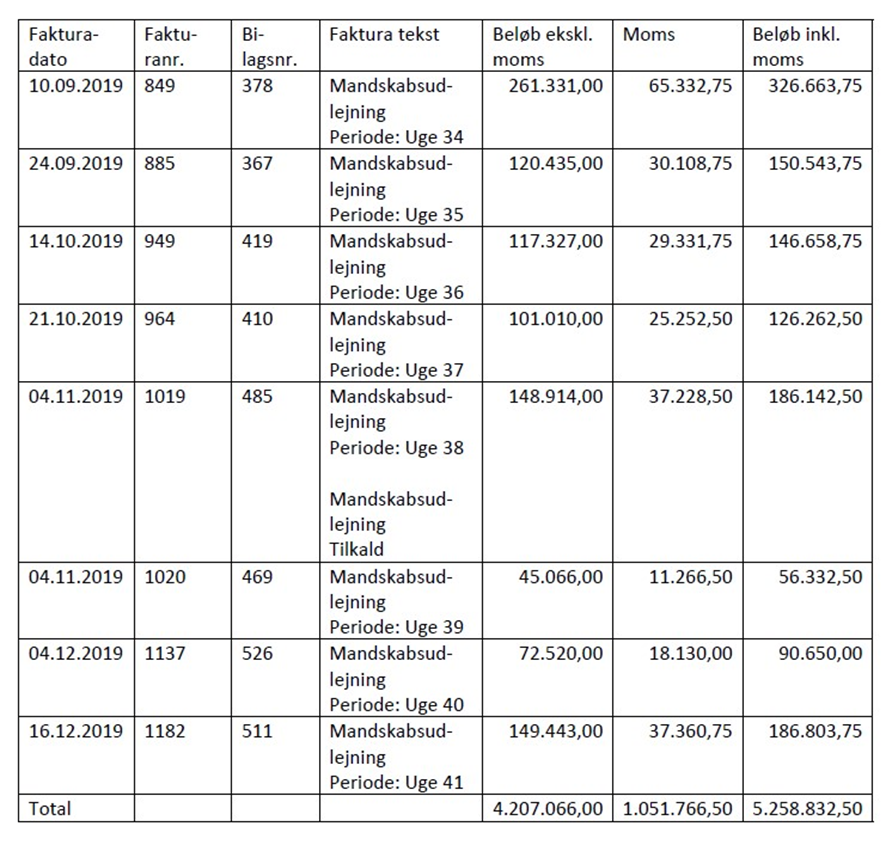
Selskabet har fremlagt 24 fakturaer fra G3-virksomhed i 2019, som Skattestyrelsen har nægtet fradrag for. Fakturaerne udgør som følgende:

*Fakturaen er ikke fremlagt af Skattestyrelsen. Skattestyrelsen har inddraget bilag 360 i korrektionen af momstilsvaret. Selskabets repræsentant har fremlagt fakturanr. 793, Bilag 360 i tillæg til klagen.

På samtlige af ovenfor listet fakturaer, er der på fakturaen anført forskelligt tekst og bogstaver, herunder eksempelvis "frem.hj." og (red.fjernet.fakturanavn)".

Derudover er der på alle fakturaerne anført følgende: "OBS!! Det er VIGTIGT at I ved overførsel indtaster jeres kundenummer i reference; (red.fjernet.referencenr.)".

Skattestyrelsen har nægtet selskabet fradrag for den anførte moms på i alt 1.051.766,50 kr., for udgifter til G3-virksomhed.

Skattestyrelsen har oplyst, at det på fakturaerne fra G3-virksomhed fremgår, at betaling skal ske til en konto i F2-bank, hvoraf pengene videreoverføres til G3-virksomhed's bankkonto hos F3-bank i Y1-land, hvor pengene herefter videreoverføres til konti i udlandet. Ved denne type betaling, skal der oplyses et referencenummer, der starter med "(red.fjernet.referencenr.)".

Derudover har Skattestyrelsen oplyst, at G3-virksomhed ikke har afholdt udgifter til løn, der gør det muligt at levere de fakturerede ydelser.

G3-virksomhed har i 1.-3. kvartal 2019 været registreret med 5-9 medarbejdere, herunder 2-4 årsværk. I oktober, november og december 2019 har G3-virksomhed været registreret med 6 medarbejdere, herunder 4, 5.11 og 5 årsværk.

Der er ikke fremlagt samarbejdsaftale, timesedler, korrespondance eller anden direkte specifikation i tillæg til de fremlagte fakturaer.

Det har ikke været muligt for Skattestyrelsen at komme i kontakt med G3-virksomhed for at få bekræftet samhandlen.

G4-virksomhed, cvr-nr. ...13, herefter G4-virksomhed, er en enkeltmandsvirksomhed, som blev stiftet den (red.fjernet.dato10) af IF. G4-virksomhed skiftede den (red.fjernet.dato11) virksomhedsnavn fra G4-virksomhed til G4-virksomhed, hvorfor G4-virksomhed i perioden fra den (red.fjernet.dato10) til og med den 18. november 2019 havde virksomhedsnavnet G4-virksomhed. I perioden fra den 1. maj 2013 til og med den 16. september 2014 var G4-virksomhed registreret med branchekoden 431100 "nedrivning", hvorefter G4-virksomhed fra den (red.fjernet.dato10) til og med den 18. november 2019 var registreret med branchekoden 431100 "nedrivning". Herefter er G4-virksomhed registreret med branchekoden 492000 "godstransport med tog".

G4-virksomhed har ikke angivet et formål i Det Centrale Virksomhedsregister. G4-virksomhed er ophørt den (red.fjernet.dato6).

Selskabet har fremlagt 1 faktura fra G4-virksomhed i 2019, som Skattestyrelsen har nægtet fradrag for. Fakturaen udgør som følgende:

På fakturanr. 22 er der anført forskelligt tekst og bogstaver, herunder eksempelvis "frem.hj." og (red.fjernet.fakturanavn)".

Skattestyrelsen har nægtet selskabet fradrag for den anførte moms på i alt 11.849,25 kr., for udgifter til G4-virksomhed.

Skattestyrelsen har oplyst, at det på fakturanr. 22 fra G4-virksomhed fremgår, at betaling skal ske til konto X2-konto. Kontoen er ikke ejet af G4-virksomhed og der ikke er sket betalinger fra selskabet til anden konti, der er ejet af G4-virksomhed.

G4-virksomhed har ikke været registreret med ansatte.

Der er ikke fremlagt samarbejdsaftale, timesedler, korrespondance eller anden direkte specifikation i tillæg til de fremlagte fakturaer.

Nægtelse af fradrag for købsmoms på øvrige udgifter i 2019

Skattestyrelsen har desuden nægtet selskabet fradrag for udgifter til en buskrydder/græstrimmer, træningstøj, (red,fjernet.mærke) sko, diverse reservedele og reparationer af motocross maskine mv. i 2019 på i alt 13.341 kr.

Skattestyrelsen har opgjort ikke godkendt købsmoms således:

"

….

Landsskatterettens afgørelse

Der skal tages stilling til, hvorvidt det er med rette, at Skattestyrelsen har nægtet fradrag for selskabets udgifter til købsmoms for underleverandører og driftsomkostninger og korrigeret selskabets momstilsvar med i alt 1.384.325 kr. for perioden fra den 1. oktober 2018 til og med den 31. december 2019.

Af momslovens § 37 fremgår følgende (uddrag):

"Virksomheder registreret efter §§ 47, 49, 51 eller 51a kan ved opgørelsen af afgiftstilsvaret som indgående afgift, jf. § 56, stk. 3, fradrage afgiften efter denne lov for virksomhedens indkøb m.v. af varer og ydelser, der udelukkende anvendes til brug for virksomhedens leverancer, som ikke er fritaget for afgift efter § 13, herunder leverancer udført i udlandet, jf. dog stk. 6.

Stk. 2. Den fradragsberettigede afgift er

1) afgiften af varer og ydelser, der er leveret til virksomheden,

…"

Af dagældende momsbekendtgørelse nr. 808 af den 30. juni 2015, § 82 fremgår følgende:

"Registrerede virksomheder skal til dokumentation af den indgående afgift kunne fremlægge fakturaer, herunder forenklede fakturaer og afregningsbilag, eller enhedsdokumentets eksemplar 8 med eventuelle rettelsesmeddelelser m.v. fra SKAT eller fakturaer for erhvervelser fra andre EU-lande med anførelse af sælgerens og køberens registreringsnummer."

Samme momsbekendtgørelse nr. 808 af den 30. juni 2015 indeholder i kapitel 12 en række fakturakrav. Bekendtgørelsens § 58, stk. 1 fastsætter de nærmere krav til fakturaens indhold, heraf fremgår:

"Med forbehold for de øvrige bestemmelser i dette kapitel skal en faktura, herunder afregningsbilag, jf. § 68 i denne bekendtgørelse, indeholde:

1) Udstedelsesdato (fakturadato).

2) Fortløbende nummer, der bygger på én eller flere serier, og som identificerer fakturaen.

3) Den registrerede virksomheds (sælgerens) registreringsnummer.

4) Den registrerede virksomheds og køberens navn og adresse.

5) Mængden og arten af de leverede varer eller omfanget og arten af de leverede ydelser.

6) Den dato, hvor levering af varerne eller ydelserne foretages eller afsluttes, eller hvor et afdragsbeløb betales, forudsat en sådan dato er fastsat og forskellig fra fakturaens udstedelsesdato.

7) Afgiftsgrundlaget, pris pr. enhed uden afgift, eventuelle prisnedslag, bonus og rabatter, hvis disse ikke er indregnet i prisen pr. enhed.

8) Gældende afgiftssats.

9) Det afgiftsbeløb, der skal betales."

Bestemmelsen i momslovens § 37 implementerer 6. direktivs artikel 17, nu momssystemdirektivets artikel 167 til 168, hvoraf bl.a. fremgår følgende (uddrag):

"Artikel 167

Fradragsretten indtræder samtidig med, at den fradragsberettigede afgift forfalder.

Artikel 168

I det omfang varer og ydelser anvendes i forbindelse med hans afgiftspligtige transaktioner, hvoraf der er betalt moms, har den afgiftspligtige person i den medlemsstat, hvor han foretager transaktionerne, ret til i den afgift, der påhviler ham, at fradrage følgende beløb:

a) den moms, som skal betales eller er betalt i nævnte medlemsstat for varer og ydelser, der er eller vil blive leveret til ham af en anden afgiftspligtig person.

…"

Af momssystemdirektivets artikel 178 og 179 fremgår følgende (uddrag):

"Artikel 178

For at kunne udøve sin fradragsret skal den afgiftspligtige person opfylde følgende betingelser:

a) for det i artikel 168, litra a), omhandlede fradrag - for så vidt angår levering af varer og ydelser - være i besiddelse af en faktura, der er udfærdiget i overensstemmelse med [artikel 220-236 samt artikel 238, 239 og 240] …

Artikel 179

Fradraget foretages under ét af den afgiftspligtige person, ved at han i den moms, der skal betales for en afgiftsperiode, fradrager de momsbeløb, for hvilke fradragsretten i løbet af samme periode er opstået og udøves i henhold til artikel 178.

…"

EF-domstolen har i sag C-152/02 (Terra Baubedarf-Handel GmbH) udtalt, jf. præmis 34, at fradraget som omhandlet i 6. direktivs artikel 17, stk. 2 (nu momssystemdirektivets artikel 168), skal ske for den afgiftsperiode, hvori de to betingelser i 6. direktivs artikel 18, stk. 2, 1. afsnit (nu momssystemdirektivets artikel 179) begge er opfyldt. Det vil sige, at der skal være foretaget levering af goder eller tjenesteydelser, og at den afgiftspligtige skal være i besiddelse af en faktura eller et dokument, der ifølge kriterier fastsat af den pågældende medlemsstat kan anses for et tilsvarende dokument.

I SKM2019.332.ØLR og SKM2017.461.ØLR fandt Østre Landsret i begge domme, at sagsøgerne ikke havde løftet bevisbyrden for, at der havde fundet levering sted. Fakturaerne i de pågældende sager opfyldte ikke momsbekendtgørelsens fakturakrav, idet der i fakturaerne bl.a. ikke var foretaget en tilstrækkelig præcis angivelse af ydelsernes art og omfang samt tidspunkt og sted for levering, ligesom der ikke var fremlagt arbejdssedler, opgørelser eller andet bevis for, at de hævdede ydelser var leveret. Samme forhold forelå i den nyere byretsdom SKM2021.395.BR, hvor de i sagen fremlagte samarbejdsaftaler blev fundet for upræcise til at løfte bevisbyrden. Byretten udtalte, at det forhold, at der var sket pengeoverførsler fra sagsøgerens konto, ikke i sig selv dokumenterede, at der var sket levering af momsbelagte ydelser fra de angivne underleverandører.

Der henvises endvidere til Retten i Glostrup's dom af den 10. februar 2017, offentliggjort som SKM2017.210.BR, samt Landsskatterettens afgørelser af den 27. september 2018 og den 15. november 2018, offentliggjort som henholdsvis SKM2018.539.LSR og SKM2018.613.LSR.

Bevisbyrden vil være skærpet i tilfælde hvor der foreligger usædvanlige omstændigheder i relation til fakturering og samhandlen med underleverandørerne. Der henvises til Østre Landsrets dom af 28. april 2009, offentliggjort i SKM2009.325.ØLR og Københavns Byrets dom af 10. oktober 2016, offentliggjort i SKM2017.40.BR.

Ved anmodning om fradrag i henhold til momsloven § 37 påhviler det selskabet at godtgøre, at betingelserne herfor er opfyldt.

Underleverandører

Selskabet har som dokumentation fremlagt 12 fakturaer fra G2-virksomhed, 24 fakturaer fra G3-virksomhed og 1 faktura fra G4-virksomhed.

Landsskatteretten finder, at der ikke kan anses at være sket en levering mod vederlag fra en afgiftspligtig person.

Alle tre angivne underleverandører er kort efter faktureringen taget under konkursbehandling eller tvangsopløsning. Underleverandørerne er i angivelsesperioderne ikke registreret indenfor samme branche som selskabet. G2-virksomhed og G4-virksomhed har ikke haft registreret ansatte i perioden.

Til trods for fakturabeløbenes størrelse og længden af samhandlen på de opgaver, som underleverandørerne skulle løse, har selskabet ikke fremlagt specifikation af fakturaerne i form af samarbejdsaftaler, timesedler eller andet.

Selskabet har i henhold til beskrivelsen på fakturaerne anvendt underleverandørerne til "mandskabsudlejning" og "mandetimer".

For så vidt angår fakturaerne fra G3-virksomhed, er der angivet perioder som "Periode: 01.04.2019 - 30.04.2019" og "Periode: Uge 33" mv., men selskabet har ikke fremlagt yderligere specifikationer som understøttelse hertil.

Som følge heraf ses fakturaerne ikke at opfylde kravene i momsbekendtgørelsens § 58, stk. 1, nr. 5 og nr. 6. Fakturaerne indeholder ikke en tilstrækkelig angivelse af omfanget og arten af de leverede ydelser, idet der mangler oplysninger om beskrivelse af arbejdsopgaver, hvor og hvornår arbejdet er udført, og hvem der har udført arbejdet. Det af selskabet anførte, om at arbejderne er udført ét specifikt sted og at specifikationen af, hvor arbejderne er udført, er unødvendige på fakturaerne, kan ikke i sig selv føre til et andet resultat.

Selskabet har fremlagt yderligere dokumentation i form af salgsfakturaer fra selskabet, cvr-udskrift på selskabet og mails fra (red.fjernet.regnskab).

Under disse omstændigheder finder retten, at selskabet ikke har dokumenteret, at betingelserne for fradrag i henhold til momslovens § 37 er opfyldt. Selskabet har således ikke dokumenteret, at der er foretaget momspligtige leverancer i henhold til de fremlagte fakturaer. Retten finder, at der samlet set er tale om så usædvanlige omstændigheder, at de fremlagte fakturaer ikke kan anses for at være reelle.

Det forhold, at fakturaerne er betalt ved elektroniske pengeoverførsler, udgør ikke i sig selv dokumentation for, at leveringer af ydelser har fundet sted, hvorfor dette ikke kan føre til et andet resultat.

Selskabets repræsentant har anført, at Byretten i Glostrup ved dom af den 27. oktober 2021, offentliggjort i SKM2021.625.BR, i en sag med samme tema som nærværende, har givet skatteyderen medhold i, at de anvendte underleverandører konkret havde leveret ydelser. Byretten fandt efter en konkret bevisbedømmelse, at den tvivl der var rejst om fakturaernes realitet, konkret blev afkræftet af parternes vidneforklaringer. Retten finder, at byrettens dom ikke indeholder generelle holdepunkter, som kan overføres direkte til nærværende sag, og dommen kan derfor ikke føre til et andet resultat. Som følge af de usædvanlige omstændigheder, der gør sig gældende for selskabets samhandel med underleverandørerne, finder retten, at det ikke er dokumenteret, at der er sket levering af ydelser i henhold til de fremlagte fakturaer.

Landsskatteretten stadfæster Skattestyrelsens afgørelse vedrørende underleverandører.

Nægtelse af fradrag for købsmoms for øvrige udgifter i 2019

Af momslovens § 37, stk. 1 følger, at selskabet kan få fradrag for købsmoms på udgifter, hvis udgifterne udelukkende anvendes til brug for selskabets leverancer. Selskabet skal således dokumentere, at udgifterne har været afholdt til selskabets indkøb mv. af varer og ydelser, der knytter sig til selskabets leverancer.

I 2019 har selskabet afholdt udgifter til en buskrydder/græstrimmer, træningstøj, (red,fjernet.mærke) sko, diverse reservedele og reparationer af motorcross maskine mv.

Selskabet har fremlagt kvitteringer og fakturaer for indkøbene.

Landsskatteretten finder det ikke dokumenteret af selskabet, at udgifterne udelukkende har været anvendt til brug for selskabets leverancer. Der er ved vurderingen lagt vægt på, at de indkøbte varer og ydelser efter deres art anses for at være indkøbt til andre formål end selskabets leverancer.

Derfor og af de af Skattestyrelsen anførte grunde stadfæster Landsskatteretten Skattestyrelsens afgørelse vedrørende øvrige udgifter i 2019.

Formalitet

Selskabets repræsentant har fremsat påstand om, at Skattestyrelsens afgørelse af den 7. marts 2022 ikke opfylder forvaltningslovens § 24 og officialprincippet, og som følge heraf må anses for ugyldig.

Nærværende sag handler om efterprøvelse af det af selskabet angivne fradrag for købsmoms. Det er selskabet, der skal godtgøre, at betingelserne herfor er opfyldt.

For at selskabet kan få fradrag for udgifter til købsmoms, skal selskabet dokumentere, at der er sket levering mod vederlag fra en afgiftspligtig person. Selskabet har ikke formået at løfte denne bevisbyrde, hvorfor der ikke kan godkendes fradrag for udgifter til underleverandører. Derfor, kan det af repræsentanten anførte om, at det er i strid med EU-retten at pålægge kontrolbyrden hos selskabet, ikke føre til at andet resultat.

Skattestyrelsen har ved afgørelsen af den 7. marts 2022 taget stilling til det af selskabet fremlagte vedrørende underleverandørerne. Denne begrundelse ses ikke at indeholde væsentlige mangler, der kan medføre ugyldighed af afgørelsen.

Landsskatteretten stadfæster derfor Skattestyrelsens afgørelse."

Landsskatteretten afsagde den 17. februar 2023 også en kendelse vedrørende sagsøgerens hæftelse for A-skat og arbejdsmarkedsbidrag i perioden fra den 1. oktober 2018 til den 31. december 2019. I kendelsen er det anført:

"

Landsskatterettens afgørelse

Der skal tages stilling til, hvorvidt det er med rette, at Skattestyrelsen har opkrævet efterbetaling af indeholdelse og hæftelse af A-skat og AM-bidrag med i alt 3.213.567 kr. for perioden 1. oktober 2018 til og med den 31. december 2019.

A-skat og arbejdsmarkedsbidrag

Til A-indkomst henregnes enhver form for vederlag i penge samt i forbindelse hermed ydet fri logi for personligt arbejde i tjenesteforhold, herunder løn, feriegodtgørelse, honorar, tantieme, provision, drikkepenge og lignende ydelser, jf. kildeskattelovens § 43, stk. 1, 1.pkt.

Af kildeskattelovens § 46, stk. 1, 1. pkt., fremgår, at i forbindelse med enhver udbetaling af A-indkomst skal den, for hvis regning udbetalingen foretages, indeholde foreløbig skat i det udbetalte beløb. Indeholdelsespligten ved udbetaling af A-indkomst efter § 43, stk. 2, litra h, påhviler den, for hvem arbejdet udføres. Indeholdelsen foretages ved, at den indeholdelsespligtige beregner det beløb, der skal indeholdes, og tilbageholder dette beløb i A-indkomsten.

Har den indeholdelsespligtige hverken modtaget skattekort, bikort eller frikort, skal der indeholdes 55 % af den udbetalte eller godskrevne A-indkomst uden fradrag efter stk. 2 og 3, jf. kildeskattelovens § 48, stk. 8.

Personer, der er skattepligtige her til landet, svarer skat i form af arbejdsmarkedsbidrag til staten efter arbejdsmarkedsbidragsloven. Bidraget udgør 8 % af grundlaget, jf. arbejdsmarkedsbidragslovens § 1 i lovbekendtgørelse nr. 471 af 12. juni 2009 og lovbekendtgørelse nr. 121 af 7. februar 2020.

Af arbejdsmarkedsbidragslovens § 2, stk. 1, nr. 1, fremgår, at grundlaget for arbejdsmarkedsbidrag for lønmodtagere m.v. er ethvert vederlag i penge eller naturalier, der kan henføres til personligt arbejde i ansættelsesforhold, herunder løn i opsigelsesperiode, løn under sygdom og barsel m.v., efterbetalinger, fratrædelsesgodtgørelser, efterløns- og pensionslignende ydelser m.v., når sådanne ydelser har sammenhæng med et tidligere ansættelsesforhold eller hverv.

Den, som undlader at opfylde sin pligt til at indeholde A-skat og arbejdsmarkedsbidrag, er umiddelbart ansvarlig for betaling af manglende beløb over for det offentlige, medmindre han/hun godtgør, at der ikke er udvist forsømmelighed fra dennes side. Dette fremgår af kildeskattelovens § 69, stk. 1, og arbejdsmarkedsbidragslovens § 7.

Skattestyrelsen har i den påklagede afgørelse af 7. marts 2022 truffet afgørelse om, at der ikke kan godkendes momsmæssigt fradrag for udgifter til fremmed arbejde, idet selskabet ikke har løftet bevisbyrden for, at der er sket levering af ydelser fra underleverandørerne til selskabet, herunder at fakturaerne er uden realitet og er fiktive. Som konsekvens har Skattestyrelsen lagt til grund, at arbejdet i henhold til de udstedte fakturaer i stedet må anses for at være udført af en anden. Landsskatteretten har i sagsnr. 22-0025656 stadfæstet Skattestyrelsen afgørelse vedrørende momsmæssigt fradrag, hvorved Landsskatteretten fandt, at der ikke kan godkendes momsmæssigt fradrag for selskabets udgifter til underleverandørerne G2-virksomhed, G3-virksomhed og G4-virksomhed.

Henset til, at samtlige af underleverandørerne er opløst efter konkurs, er under tvangsopløsning eller er ophørt, at G2-virksomhed og G4-virksomhed ikke har været registreret med ansatte, og at G3-virksomhed har været registreret med få ansatte, samt at der er leveret ydelser i form af "mandskabsudlejning" og "mandetimer" for større beløb, finder Landsskatteretten, at selskabet har haft udgifter til løn, der ikke er oplyst til myndighederne, og at selskabet ikke har indberettet A-skat og arbejdsmarkedsbidrag herfor.

Ud fra sagens oplysninger har der ikke foreligget en sådan uklarhed om selskabets indeholdelsespligt, at selskabet kan fritages for hæftelsesansvar for den manglende indeholdelse af A-skat og arbejdsmarkedsbidrag, jf. kildeskattelovens § 69, stk. 1, og arbejdsmarkedsbidragslovens § 7. Selskabet hæfter derfor for A-skat og arbejdsmarkedsbidrag i henhold til fakturaerne fra underleverandørerne i 2018 og 2019. Der henvises endvidere til Østre Landsrets dom af 7. november 2016, der er offentliggjort i SKM2017.117.ØL.

Da der ikke er oplysninger om, at selskabet har modtaget skattekort, bikort eller frikort, skulle der være indeholdt 55 % af den udbetalte A-indkomst og 8 % i arbejdsmarkedsbidrag.

Formalitet

Selskabets repræsentant har fremsat påstand om, at Skattestyrelsens afgørelse af den 7. marts 2022 ikke opfylder forvaltningslovens § 24 og officialprincippet, og som følge heraf må anses for ugyldig.

Repræsentanten er ikke kommet med yderligere anbringender til afklaring af, hvordan denne begrundelsesmangel har betydning for, hvorvidt selskabet er indeholdelsespligtigt og hæfter for A-skat og arbejdsmarkedsbidrag.

Landsskatteretten finder, at Skattestyrelsens afgørelse af den 7. marts 2022 ikke indeholder væsentlige mangler, der kan medføre ugyldighed.

Landsskatteretten stadfæster derfor Skattestyrelsens afgørelse for indkomstårene 2018 og 2019. "

I denne kendelse er gengivet de samme faktiske oplysninger om H1 og underleverandørerne, G2-virksomhed, G4-virksomhed og G3-virksomhed, der er anført indledningsvis i Landsskatterettens kendelse om sagsøgerens momstilsvar. I Landsskatterettens kendelser er også gengivet Skattestyrelsens afgørelser af 7. marts 2022.

Der er under sagen fremlagt udskrift fra Erhvervsstyrelsen vedrørende G2-virksomhed, tidligere G2-virksomhed, G3-virksomhed og G4-virksomhed, tidligere G4-virksomhed. Det fremgår bl.a. at G2-virksomhed med startdato den (red.fjernet.dato3) er opløst den (red.fjernet.dato4) efter konkurs, at G3-virksomhed med startdato den (red.fjernet.dato7) er opløst den (red.fjernet.dato8) efter konkurs, og at G4-virksomhed, der var en enkeltmandsvirksomhed med startdato den (red.fjernet.dato10), er ophørt (red.fjernet.dato6).

Forklaringer

IA, der er direktør for H1, har forklaret bl.a., at han blev udlært (red.fjernet.uddannelse) i 2008, og at han har arbejdet for firmaerne, G5-virksomhed og G1-virksomhed. Efter forslag fra G1-virksomhed, blev han selvstændig og stiftede H1 i 2017. 70 % af selskabets opgaver blev udført for G1-virksomhed. Selskabets samarbejde med G1-virksomhed vedrørte opgaver hos G6-virksomhed i Y2-by. Denne virksomhed brænder skrald og genererer dermed varme og fjernvarme. Vidnet var med til at bygge ovnen hos G6-virksomhed. IG leverede folk til G5-virksomhed og til G1-virksomhed. IG skaffede også folk til de opgaver, som skulle udføres af H1. Vidnet lærte IG at kende, da vidnet var ansat i G5-virksomhed.

Han bad f.eks. IG om 10 mænd. Så kom de og udførte arbejde hos G6-virksomhed efter hans anvisninger. Aftalen om levering af arbejdskraft blev altid indgået mundtligt. IG sagde f.eks., at der kom 10 mænd fra G2-virksomhed. De kunne også være flere, der udførte arbejde hos G6-virksomhed. Angivelsen, "tilkald" i en faktura dækker over arbejdsopgaver, der blev udført efter sædvanlig arbejdstid fra kl. 07.00 til kl. 15.30. G4-virksomhed, G2-virksomhed og G3-virksomhed udførte arbejde hos G6-virksomhed for H1.

Forevist fakturaer med angivelsen "Y3-by forsyning" og "Y4-vej" i ekstrakten, henholdsvis side 253 og 301, har han oplyst, at han personligt har udført det pågældende arbejde for H1.

Forevist faktura med angivelsen "(red.fjernet.navn)" i ekstrakten, side 253, har han oplyst, at der er tale om uspecificeret arbejde. H1 har haft alle de ordrer, der er angivet i fakturaen. Selskabet har aldrig fået penge tilbage fra IG. G2-virksomhed og G3-virksomhed har selv betalt deres folk. H1 har aldrig betalt nogle af de folk, som man fik fra IG.

Hvis H1 havde lejet folk i 8 timer fra G3-virksomhed, så skrev H1 en faktura på 10 timer til G1-virksomhed, og deri lå fortjenesten for H1. Selskabets egne medarbejdere lavede også overskud for selskabet. Forinden der blev betalt til underleverandører, slog bogholderen CVR-numrene op. Bogholderen er ansat i H1, og selskabet får også revisorbistand. H1 har forinden denne sag aldrig haft udestående med SKAT. Han har ikke kendskab til, om nogen i H1 har betalt løn til underleverandørernes folk. Tre af de vidner, der skal føres under hovedforhandlingen i dag, blev ansat hos H1 i 2022, og det fjerde vidne, IH, blev ansat i 2018 eller i 2019. Vidnerne er fortsat ansat i selskabet.

Han har ikke kendskab til G1-virksomhed`s rammeaftale med G6-virksomhed. Forholdet mellem H1 og G1-virksomhed bygger på en mundtlig aftale. Der var ikke nogen skriftlig korrespondance med IG. Der var kun telefoniske samtaler. Folk fra underleverandørerne udførte arbejde f.eks. i form af rengøring af ovn og adskillelse af dele. De udførte også svejsearbejde. Medarbejderne, der kom ind fra underleverandørerne, kunne også udføre skruearbejde og smedearbejde. Når underleverandørernes folk var på arbejdsstedet, var han også til stede. Det var direktøren for G1-virksomhed, der oplyste, hvad der skulle laves. Nogen fra H1 instruerede underleverandørernes ansatte om arbejdsopgaverne. Der blev ikke skrevet noget ned om, hvad der skulle udføres. Fakturaerne indeholder ikke nogen fyldig beskrivelse, og han har ikke tænkt videre over det. Bogholderen hos H1 godkendte det. H1 betalte fakturaerne, og hver måned modtog han en udskrift fra bogholderen om timeantal, og han havde tillid til rigtigheden. De navne, der står på fakturaen, f.eks. (red.fjernet.navn) og (red.fjernet.navn2), er nogle folk fra underleverandørerne. Nogle af navnene dækker også over folk ansat hos H1.

II har forklaret bl.a., at han i 2018 og 2019 har udført arbejde hos G6-virksomhed i Y2-by. Han fik arbejdet gennem IJ, som er en kollega. Det var IG, der sørgede for, at de fik arbejdet. Vidnet mener, at IG's firma var G3-virksomhed. Han mener, at IJ var ansat i G2-virksomhed. Arbejdet bestod i at skære metal og at svejse. Vidnet er udlært i svejsning. Hver anden uge udbetalte IG løn til vidnet. Vidnet var timelønnet. H1 eller IA har aldrig givet vidnet løn. Vidnet var ansat i G3-virksomhed. Der var ikke nogen ansættelseskontrakt, og vidnet har ikke modtaget lønsedler. Lønnen blev udbetalt kontant. Der er ikke noget skriftligt materiale, der understøtter ansættelsesforholdet. Vidnet ved ikke, om der blev afregnet skat af den løn, som han modtog. Vidnet var ansat i juli og august i 2018 og i juli og august i 2019. Vidnet svejsede, skar og skiftede metaldele og metaludstyr. Vidnet blev instrueret i arbejdet af IA, der var formand. Vidnet skrev sine timer på et stykke papir, som han selv opbevarede. Han sendte oplysninger om sine arbejdstimer til IG via SMS. Han afleverede timesedler hver uge til IG. Siden slutningen af september 2022 har vidnet været ansat hos H1.

IJ har forklaret bl.a., at han udførte arbejde hos G6-virksomhed i Y2-by i juli og august i 2018 og juli og august i 2019. Det var omkring de tidspunkter. Hans arbejdsgiver i 2018 var G2-virksomhed, og i 2019 var hans arbejdsgiver G3-virksomhed. Det var IG, der ejede de to firmaer. Vidnet fik arbejde via en jobannonce på nettet, da han søgte arbejde som svejser. Vidnet er udlært smed og svejser. Da han søgte jobbet, var han i Y5-land. Han talte med IG og sagde, at han søgte arbejde. Han skrev sine arbejdstimer på papir og sendte til IG. Hans løn blev betalt kontant af IG. Han har aldrig fået løn fra IA eller fra H1. Han udførte alle opgaver i forbindelse med metalarbejde, svejsning og slibning. Til at begynde med blev han sat i gang med arbejdet af IG. Når han ikke havde noget at lave, kom IA og gav nogle andre opgaver. Han er nu ansat hos H1. Han blev ansat i efteråret 2022. Han havde ikke nogen ansættelseskontrakt hos G3-virksomhed og hos G2-virksomhed. Ansættelsesforholdene blev aftalt mundtligt. Da han så en jobannonce i Y5-land, rejste han til Danmark og aftalte alt mundtligt. Han snakkede med IG i telefon fra Y5-land. Han har ikke modtaget lønsedler fra G2-virksomhed eller G3-virksomhed. Han har sendt SMS-beskeder om sine arbejdstimer. Der er ikke blevet udarbejdet korrespondance i forbindelse med oplysningerne. Han har ikke SMS-korrespondancen mere. Korrespondancen var på en gammel telefon.

IK har forklaret bl.a., at han har udført arbejde hos G6-virksomhed i Y2-by i juli og august 2018 og i juli og august 2019. Han var ansat af G3-virksomhed, og IG var chefen. Han kom i kontakt med firmaet gennem IJ. Han udførte svejse- og montørarbejde. Han skar i gamle metalplader og svejsede og monterede metaldele. Han er udlært smed og svejser. Der var kun en mundtlig ansættelsesaftale mellem vidnet og IG. IG udbetalte løn hver anden uge. IA og H1 har aldrig betalt løn til vidnet. Vidnet opgjorde sine arbejdstimer på et stykke papir og sendte antallet af timer til IG via SMS. Han har ikke længere SMS'erne og timesedlerne. Han har nu en anden telefon, og det er lang tid siden, at han sendte oplysningerne til IG. Der kunne være 20-30 personer ad gangen på arbejdsstedet, da vidnet arbejdede der. I slutningen af september eller begyndelsen af oktober 2022 blev vidnet ansat hos H1. Vidnet har ikke modtaget lønsedler for det arbejde, som han udførte for G3-virksomhed. Tolken forlod herefter retssalen.

IH har forklaret bl.a., at han har udført arbejde hos G6-virksomhed i Y2-by. Han udførte arbejdet om sommeren i 2018 og i 2019. Vidnet har svejsecertifikat. Han så jobbet på (red.fjernet.medie), hvor IG havde et opslag om det. Han tog kontakt til IG og fik så jobbet. For det meste bestod arbejdet i at slibe riste fra forbrændingsovnen. Når vidnet skulle have sin løn, fik han at vide, at han skulle møde på en parkeringsplads, og så fik han lønnen i kontanter i en konvolut af IG. Det kunne vidnet ikke rigtig lide. Vidnet har ikke modtaget løn fra IA eller fra H1. Efter at han var hørt op med sit arbejde hos G2-virksomhed og G3-virksomhed, blev han ansat hos H1 i 2019. Vidnet kan ikke helt huske, hvornår han blev ansat, men det var varmt, da han blev ansat, så det må have været medio 2019. Da han var hos G2-virksomhed, fik han ikke lønsedler. Han skrev sine timesedler og sendte via SMS til IG. Han har ikke SMS'erne mere.

Forevist angivelsen "IH" i ekstrakten, side 321, har vidnet oplyst, at navnet anført på fakturaen dækker over arbejde, som han har udført.

Parternes synspunkter

Sagsøgerens advokat har i et påstandsdokument anført:

"Det er sagsøgtes overordnede og udokumenterede synspunkt, at sagsøger har medvirket til bl.a. momssvig og hvidvask, herunder at sagsøger har betalt underleverandørernes medarbejdere sort løn. Det er en forudsætning for sagsøgtes synspunkter om manglende levering af ydelsen fra underleverandørerne samt sagsøgers hæftelse for A-skat m.v. at påstå dette.

Sagsøger bestrider sagsøgtes udokumenterede synspunkter og der er overhovedet ingen dokumentation fremlagt fra sagsøgtes side på, at sagsøgtes synspunkter kan antages at være korrekte.

Sagsøger har modtaget faktura på arbejdet som underleverandøren har udført hos G1-virksomhed (bilag 4) og sagsøger har faktureret G1-virksomhed (bilag 5) for dette arbejde. Det er underleverandørerne, der har lønnet deres medarbejdere, ikke sagsøger.

AD påstand 1, de momsmæssige forhøjelser:

Der er ingen dokumentation for det af sagsøgte påståede, hvorefter, at sagsøger skulle have aflønnet nogle personer uden at indberette dette til Skattestyrelsen og uden at indeholde A-skat og AM-bidrag.

Sagsøgte har aldrig ville forholde sig til, at det er mere sandsynligt, at det er underleverandørerne, som har aflønnet disse personer der har udført tjenesteydelsen, uden indeholdelse af A-skat og AM-bidrag samt uden at indberette lønnen til Skattestyrelsen.

Der er ikke baggrund for at antage, at sagsøger har aflønnet nogle personer som hævdet af sagsøgte og at det som påstået af sagsøgte, er sagsøger selv der har leveret ydelsen. Ydelsen er leveret af underleverandørerne, som bl.a. vikarydelser.

Det er alene i perioden fra den 17. september 2019, at sagsøger i helt underordnet omfang har udført arbejde for to andre kunder nemlig G7-virksomhed jf. bilag 4, fakt. 118, 121, 126, 128, 130 og 134 samt G8-virksomhed, faktura 131.

Dette arbejde er udført ved sagsøgers egne udannede medarbejdere og har intet med underleverandørernes leverancer at gøre.

Alt arbejde relateret til underleverandørerne er således udført hos G1-virksomhed på G6-virksomhed i Y2-by.

Sagsøger gør gældende, at sagsøger, jf. bilag 4 og bilag 5, herunder ved de vidneforklaringer fra nogle af de personer, der har udført arbejde for underleverandørerne og som vil afgive forklaring under hovedforhandlingen, har dokumenteret, at underleverandørerne har leveret det af underleverandørerne, jf. bilag 4 fakturerede arbejde til sagsøger ved arbejde udført af underleverandørerne hos G1-virksomhed på G6-virksomhed i 2018 - 2019.

Sagsøger anvender alene underentreprenører hos kunden G1-virksomhed på adressen Y6-adresse, Y2-by. Underleverandørerne fakturerede typisk ugevis med angivelse af ugenummer for arbejdets udførelse timepris m.v., ugenummer eller anden fast faktureringsperiode m.v., jf. bilag 4. Der er derfor i denne sag ikke tvivl om hverken arbejdssted, periode eller hvilket arbejde, der udføres.

Det gælder for de modtagne fakturaer, at underleverandørens navn, CVR-nr., adresse og e-mailadresser fremgår. Endvidere anføres sagsøgers adresse med CVR-nr. Fakturaerne er daterede og nummererede og der er anført et bankkontonr. til indbetaling, hvortil sagsøger har betalt via bankoverførsel. At sagsøger skal anføre et referencenummer ved indbetaling er ikke odiøst men sædvanligt.

Den ydelse der leveres, er anført på fakturaen, jf. Bilag 4, f.eks. "uge 39, 1 arbejdsmand 18 timer a 230 kr." eller " Uge 34 Y2-by forbrænding" x-antal arbejdsmænd og timer. Den aftalte samlede pris for opgaven er anført på fakturaen og der er beregnet moms efter gældende regler og betalingsbetingelserne er anført. Der er altså tale om helt sædvanlige fakturaer i erhvervsforhold, som i det hele opfylder kravene til, at parterne kan identificere den ydelse, der er blevet leveret.

Sagsøgte har herefter ikke ret i, at disse faktiske forhold ikke kan udledes af fakturaerne m.v. i henhold til momsbekendtgørelsens § 58, stk. 1, nr. 5 og 6.

Tilsvarende fakturerer sagsøger sin kunde (Bilag 5) løbende vedrørende arbejdet udført hos G6-virksomhed i Y2-by. Det er indlysende, at der faktisk er leveret en ydelse fra den pågældende underleverandør til sagsøger til brug for sagsøgers virksomhed, hvilket er betingelsen for ret til momsfradrag.

De underentreprenører sagsøger har entreret med, har i samarbejdsperioden, efter de for sagsøger tilgængelige oplysninger, været lovligt registreret og aktive på de tidspunkter, hvor de har udført arbejde for sagsøger og hvor sagsøger har betalt fakturaer fra dem. Det er på den baggrund meget vanskeligt at se, hvordan sagsøger skulle have forudset eller være vidende om, at de tilsyneladende ikke afregnede moms mv. Sagsøgte derimod vidste dette positivt men reagerede ikke. Sagsøgtes henvisninger i duplikken til indhold af hjemmesider m.v., som ikke fandtes i 2018 og 2019, er selvsagt uden relevans for sagen, herunder om der er sket levering.

Sagsøger henviser bl.a. til sagen refereret i SKM2021.625.BR. I den sag fandt retten på baggrund af en konkret bevisvurdering, at der ikke var grund til at betvivle, at arbejdet var udført af underleverandørerne, og lagde i den forbindelse afgørende vægt på, at fakturaerne var udstedt af momsregistrerede virksomheder, at de var udstedt til og betalt af sagsøgeren ved bankoverførsel, og at der var tale om fakturering af arbejde, der skulle være udført i underentreprise, som retten anså som et naturligt led i den virksomhed, som sagsøgeren i øvrigt udøvede.

Det gøres herudover gældende at sagsøgte, jf. EU-domstolens praksis, skal bevise, at sagsøger vidste eller burde vide, at der var svig hos underleverandørerne, såfremt sagsøgte skal have medhold i at fradraget skal afskæres.

AD påstand 2 og 3 - sagsøger hæfter ikke for manglende indeholdelse af skat og AM-bidrag

Sagsøger er ikke ansvarlig for og hæfter ikke for, at en underleverandør tilsyneladende ikke har afregnet A-skat for de af underleverandøren benyttede medarbejdere. Dette gælder uanset om retten måtte lægge til grund, at ydelserne ikke er leveret af underleverandørerne.

Underleverandørernes medarbejderne står ikke, som forudsat i Kildeskattelovens § 43, stk. 1 samt Arbejdsmarkedsfondslovens § 2 i tjenesteforhold til sagsøger og sagsøger har aldrig udbetalt beløb, som forudsat i Kildeskattelovens § 46, stk. 1 samt Arbejdsmarkedsfondslovens § 2, som ikke er indberettet til Skattestyrelsen og hvor der ikke er indeholdt skat og AM-bidrag.

Sagsøger har ubestridt ikke afholdt nogen former for udgifter direkte til medarbejderne hos underleverandørerne, sagsøger bærer ikke risikoen for om underleverandørernes medarbejdere er syge, sagsøger skal ikke afregne feriepenge til medarbejderne, sagsøger fastsætter ikke deres arbejdstid, sagsøger har ingen aftaler med medarbejderne, herunder ingen aftaler om opsigelser m.v. i forhold til medarbejderne. Sagsøger har alene udbetalt fakturabeløbene til underleverandørerne ved bankoverførsler - aldrig kontant, hvorfor der ikke kan være tale om tjenesteforhold og dermed ikke A-indkomst.

Der henvises bl.a. til kriterierne, jf. cirk. nr. 129 af 4. juli til Personskatteloven, pkt. 3.1.1. som ikke peger i retning af tjenesteforhold, hvorfor Kildeskattelovens §§ 43 og 46, slet ikke er relevant hjemmelsgrundlag i nærværende sag.

Allerede derfor skal de nedlagte påstande 2 og 3 tages til følge.

***

Sagsøger har ikke haft og burde ikke have haft mistanke om underleverandørernes manglede indberetning og momsangivelse, ligesom sagsøger ikke kan eller skal pålægges at verificere, om de medarbejdere, der udfører arbejdet for underentreprenøren, er ansat og om der indeholdes korrekt A-skat mv. for disse. Det vil medføre helt uoverskuelige konsekvenser for erhvervslivet, hvis enhver fakturamodtager skulle overtage sagsøgtes kontrolfunktion og forinden betaling skulle verificere, om udstederen har orden i sit lønregnskab og registreringer for A-skat mv. Sagsøger har ikke adgang til de oplysninger som sagsøger har.

Såfremt Retten måtte anse underleverandørernes medarbejdere for at stå i tjenesteforhold til sagsøger, gøres det derfor subsidiært til støtte for påstand 2 og 3 gældende, at sagsøger ikke har handlet forsømmeligt, jf. Kildeskattelovens § 69, stk. 1 og Arbejdsbidragslovens § 7, hvorfor sagsøger ikke kan pålægges hæftelse for underentreprenørernes manglende indeholdelse af AM-bidrag og A-skat for personer i tjenesteforhold hos dem.

AD den subsidiære påstand:

Den subsidiære påstand er nedlagt for det tilfælde at retten lægger til grund, at alene nogle af de anførte underleverandører jf. bilag 4, har leveret ydelser til sagsøger.

I så fald bør de beløbsmæssige opgørelse overlades til skattemyndighederne."

Sagsøgtes advokat har i et påstandsdokument anført:

"3.1 Skatteministeriets overordnede argumentation

Sagsøgeren opfylder ikke betingelserne for fradrag for den omhandlede købsmoms på 1.370.982 kr. i perioden 1. oktober 2018 - 31. december 2019, jf. momslovens § 37. En række usædvanlige forhold vedrørende de hævdede underleverandører og de omhandlede fakturaer skærper sagsøgerens bevisbyrde for, at fakturaerne, som hævdet, dækker over arbejdsydelser, som faktisk er blevet leveret af de hævdede underleverandører til brug for driften i sagsøgerens virksomhed. Denne bevisbyrde har sagsøgeren ikke løftet, jf. pkt. 3.2 nedenfor.

Sagsøgeren er ansvarlig for betaling af manglende indeholdt A-skat med 2.774.859 kr. og AM-bidrag med 438.708 kr. for perioden 1. juli 2018 - 31. december 2019 af ikke-indberettet løn til personer, som det må lægges til grund, har udført arbejde som ansatte hos sagsøgeren, jf. pkt. 3.3 nedenfor.

3.2 Sagsøgeren har ikke ret til fradrag for købsmoms

Sagsøgeren opfylder ikke betingelserne for fradrag for den omhandlede købsmoms på 1.370.982 kr. i perioden 1. oktober 2018 - 31. december 2019, jf. momslovens § 37, stk. 1, da selskabet ikke har godtgjort, at de omtvistede fakturaer (bilag 1, s. 3-7) reelt dækker over leverancer af arbejdsydelser fra de hævdede underleverandører til brug for driften i sagsøgerens virksomhed.

En momsregistreret virksomhed kan ved opgørelsen af sit momstilsvar fradrage indgående moms (købsmoms) for virksomhedens indkøb m.v. af varer og ydelser, der er leveret til virksomheden, og som udelukkende er anvendt til brug for virksomhedens levering af momspligtige varer og ydelser, jf. momslovens § 37, stk. 1, og stk. 2, nr. 1, der gennemfører momssystemdirektivets artikel 168. Det er alene afgiften af varer og ydelser, der reelt er leveret til virksomheden, der er fradragsberettiget, jf. også UfR 2019.2102 H og EU-Domstolens praksis vedrørende fradragsordningen i momssystemdirektivet.

Domstolen har fastslået, at fradragsretten for moms efter momssystemdirektivets artikel 168 er knyttet til den faktiske gennemførelse af leveringen af det pågældende gode eller den pågældende tjenesteydelse, jf. bl.a. dommen i de forenede sager C-459/17 og C-460/17, SGI og Valériane, præmis 35 og 36, og dommen i sag C-114/22, W. sp. Z.o.o., præmis 31. Der opstår således ingen fradragsret, når den faktiske gennemførelse af leveringen af godet eller tjenesteydelsen ikke har fundet sted, jf. de nævnte domme.

Domstolen har endvidere fastslået, at spørgsmålet om, hvorvidt den afgiftspligtige person, der har anmodet om momsfradrag, var i god eller ond tro, er uden betydning for spørgsmålet om, hvorvidt leveringen har fundet sted, jf. dommen i de forenede sager C-459/17 og C-460/17, SGI og Valériane, præmis 38.

Det er således ikke korrekt, at Skatteministeriet skal bevise, at sagsøgeren vidste eller burde vide, at der var svig hos underleverandørerne, således som sagsøgeren gør gældende (f.eks. replikken, s. 5, sidste afsnit). Sagen angår nemlig ikke, om sagsøgeren vidste eller burde have vidst, at de hævdede underleverandører unddrog sig skat og moms. Som det også fremgår af ministeriets tidligere processkrifter (f.eks. svarskriftet, s. 11, sidste afsnit) er sagsøgeren blevet nægtet momsfradrag med henvisning til, at det ikke er godtgjort, at der er sket levering af de ydelser, som sagsøgeren har indberettet momsfradrag af. Det giver i øvrigt sig selv, at hvis det bevismæssigt må lægges til grund, at der ikke er sket levering, så har sagsøgeren også været bekendt hermed.

Endelig har Domstolen fastslået, at det påhviler den, der anmoder om momsfradrag, at godtgøre, at betingelserne herfor er opfyldt, jf. dommen i de forenede sager C-459/17 og C-460/17, SGI og Valériane, præmis 39, og at det i den forbindelse påhviler den pågældende at fremlægge objektive beviser for, at varerne eller tjenesteydelserne faktisk er blevet leveret til den pågældende af andre afgiftspligtige personer i et forudgående led, jf. dommen i sag C-114/22, W. sp. Z.o.o., præmis 35.

Det fremgår af momsbekendtgørelsen, at den momsregistrerede virksomhed til dokumentation af købsmomsen skal kunne fremlægge fakturaer, jf. § 82 i bekendtgørelse nr. 808/2015 (dagældende). Af momsbekendtgørelsen fremgår endvidere, at en faktura skal indeholde nogle nærmere angivne oplysninger, herunder bl.a. oplysninger om omfanget og arten af de leverede ydelser samt den dato, hvor levering af ydelserne foretages eller afsluttes, jf. § 58, stk. 1, i bekendtgørelse nr. 808/2015. Fakturakravene i momsbekendtgørelsen implementerer reglerne i momssystemdirektivets artikel 178 og 226.

Der foreligger en omfattende retspraksis fra danske domstole, som angår, om det er bevist, at en virksomhed har anvendt underleverandører til at udføre arbejde, og at virksomheden dermed ikke reelt har anvendt f.eks. egne ansatte til at udføre det arbejde, som virksomheden har udført for sine kunder, jf. bl.a. SKM2016.27.ØLR, SKM2017.117.ØLR, SKM2017.461.ØLR, SKM.2019.332.ØLR, SKM2023.213.ØLR samt en lang række byretsdomme, f.eks. SKM2016.9.BR, SKM2017.210.BR, SKM2023.634.BR og SKM2024.95.BR.

Det er i den nævnte retspraksis fastslået, at den afgiftspligtige har bevisbyrden for, at der foreligger reelle leverancer fra tredjemand, og at beviskravet er skærpet, hvis der foreligger usædvanlige omstændigheder, der kan tale imod, at leverancerne har fundet sted. Sådanne usædvanlige omstændigheder kan f.eks. være, at fakturaerne er mangelfulde i forhold til fakturakravene i momsbekendtgørelsen, at de hævdede underleverandører ikke har afregnet skat og moms, at underleverandørerne ikke har haft (registrerede) ansatte, at der ikke foreligger skriftlige samarbejdsaftaler vedrørende det hævdede samarbejde med underleverandørerne, og at der ikke foreligger timesedler eller anden lignende dokumentation, der kan understøtte, at de hævdede underleverandører faktisk har udført det omhandlede arbejde.

I den foreliggende sag foreligger der en række usædvanlige omstændigheder, jf. pkt. 3.2.1 nedenfor vedrørende de hævdede underleverandører og de hævdede samarbejder, som - i hvert fald samlet set - skaber en formodning for, at de omhandlede fakturaer ikke dækker over reelle ydelser fra de hævdede underleverandører, og som dermed skærper sagsøgerens bevisbyrde for, at fakturaerne reelt dækker over ydelser leveret af de hævdede underleverandører, til brug for driften i selskabet.

3.2.1 Der foreligger usædvanlige omstændigheder

For det første har sagsøgeren - på trods af Skatteministeriets opfordringer A-E i svarskriftet s. 2 - ikke fremlagt nærmere dokumentation for det hævdede samarbejde mellem sagsøgeren og de hævdede underleverandører i form af aftaler, arbejdssedler, timesedler, mandskabsopgørelser, korrespondance, betalingsdokumentation eller andet lignende materiale, som understøtter, at de hævdede underleverandører faktisk har udført arbejde for sagsøgeren.

Det gennemgående fravær af skriftligt materiale er påfaldende og udgør i sig selv et objektivt holdepunkt for, at der ikke er realitet bag de hævdede underleverandørforhold. Især i en situation som den foreliggende, hvor der er en række usædvanlige forhold, jf. nærmere herom nedenfor, er fraværet af skriftligt materiale således med til at skabe betydelig tvivl om, hvorvidt de hævdede underleverandører faktisk har udført de omhandlede arbejdsydelser.

For det andet har sagsøgeren ikke fremlagt dokumentation for, at de hævdede underleverandører faktisk har været i stand til at levere de hævdede arbejdsydelser i den fakturerede størrelsesorden. Tværtimod kan det konstateres, at to af underleverandørerne slet ikke har haft registreret ansatte i perioden eller indberettet løn. For så vidt angår den hævdede underleverandør G3-virksomhed, har Skattestyrelsen konstateret, at denne virksomhed ikke har afholdt lønudgifter svarende til det til sagsøgeren fakturerede arbejde.

Disse forhold skaber - sammenholdt med sagens øvrige omstændigheder - en (klar) formodning for, at de pågældende underleverandørvirksomheder ikke har kunnet udføre det arbejde, som sagsøgeren er blevet faktureret for. Denne formodning har sagsøgeren ikke afkræftet.

For det tredje er to af de hævdede underleverandører kort efter at have faktureret sagsøgeren taget under tvangsopløsning, og alle tre underleverandører er nu ophørt, heraf to efter konkurs.

For det fjerde opfylder ingen af de omhandlede fakturaer kravene i den dagældende momsbekendtgørelses § 58, stk. 1.

Af de 37 fakturaer (bilag 4, bilag B og bilag C), som sagsøgeren har fremlagt fremgår det generelt ikke, hvad der nærmere er blevet udført af arbejde, hvem der har udført arbejdet, eller hvor arbejdsopgaverne nærmere er udført.

Det bemærkes i den forbindelse, at det er udokumenteret som ellers anført af sagsøgeren i stævningen, s. 2, tredjesidste afsnit, og s. 3, fjerde afsnit, at arbejdet kun er udført for G1-virksomhed og kun på Y7-adresse i Y2-by. Tværtimod tyder de fremlagte salgsfakturaer (bilag 5) ifølge fakturabeskrivelserne på, at sagsøgeren har udført arbejde på flere forskellige adresser og for flere forskellige kunder i den omhandlede periode, f.eks. fremgår det af en salgsfaktura, at der er leveret arbejdsydelser til "Y3-by forsyning" (bilag 5, s. 8) og "Y4-vej" (bilag 5, s. 73).

Fakturaerne angiver endvidere blot generiske beskrivelser af ydelsen, eksempelvis "Mandetimer" (bilag 4, s. 8), "mandskabsudlejning" (bilag 4, s. 29) og "tilkald" (bilag 4, s. 11). Det fremgår således ikke, at der skulle være leveret mandskab til "forefaldende arbejde" for G1-virksomhed, cf. stævningen, s. 2, næstsidste afsnit, hvilken beskrivelse i øvrigt også er helt generisk og uspecificeret.

Endelig indeholder fakturaerne udstedt af G2-virksomhed og G4-virksomhed ingen angivelser af tidspunktet for arbejdets udførelse. På fakturaerne udstedt af G3-virksomhed er angivet en periode, eksempelvis "01.04.2019 - 30.04.2019" (bilag 4, s. 29) eller "uge 17-18" (bilag 4, s. 39), men ingen præcise datoer for arbejdets udførelse. Det er således ikke muligt at kontrollere, hvornår arbejdet skulle være udført, eller at sammenholde de fremlagte underleverandørfakturaer med de fremlagte salgsfakturaer (bilag 5).

Nærmere de hævdede underleverandører og de usædvanlige omstændigheder bemærkes følgende:

3.2.1.1 Nærmere om G2-virksomhed

Det fremgår af en udskrift fra CVR (bilag E), at G2-virksomhed (senere G2-virksomhed) blev stiftet den (red.fjernet.dato3) og er opløst efter konkurs den (red.fjernet.dato4). Selskabet har været under tvangsopløsning fra den (red.fjernet.dato13) (bilag E, s. 4), dvs. kun ca. 4 måneder efter den senest daterede faktura til sagsøgeren, jf. herom nedenfor. Den (red.fjernet.dato12) blev konkursdekret afsagt (bilag E, s. 3).

G2-virksomhed's registrerede formål var "projektering, produktion og montering af ventilationsanlæg og dermed beslægtet virksomhed" (bilag E, s. 1). Det registrerede formål har ikke umiddelbart nogen sammenhæng med det arbejde, sagsøgeren hævder, at G2-virksomhed skulle have udført, dvs. "forefaldende" arbejde for en virksomhed, G1-virksomhed, der ifølge sagsøgeren driver virksomhed med "reparationer af industri-anlæg og specielle stålkonstruktioner", jf. stævningen, s. 2, sidste afsnit.

Sagsøgeren har fremlagt 12 fakturaer udstedt af G2-virksomhed, som er dateret i perioden 28. oktober 2018 - 9. april 2019 (bilag 4, s. 9, 11 og 13-20, og bilag B). Der henvises til oversigten i Landsskatterettens afgørelser (f.eks. bilag 1, s. 3-4). Samtlige fakturaer henviser i beskrivelsen alene til "mandskabsudlejning" og i enkelte tilfælde "tilkald" (f.eks. bilag 4, s. 11 og 15), men de indeholder ingen nærmere beskrivelse af, hvad arbejdsopgaverne består i. Der er ikke angivet nogen periode for arbejdets udførelse.

G2-virksomhed har ikke været registreret med ansatte (bilag E). Dette skaber en formodning for, at G2-virksomhed ikke har udført det fakturerede arbejde, og denne formodning har sagsøgeren ikke afkræftet.

Det fremgår af fakturaerne datereret i 2018 (bilag 4, s. 17-20, og bilag B, s. 2), at betaling skal ske til en bankkonto (nr. X1-konto), som ikke tilhører virksomheden, men derimod virksomhedens hovedaktionær, IC. På fakturaerne dateret i 2019 er det anført, at betaling skal ske til forskellige bankkonti, som hverken tilhørte G2-virksomhed eller ejeren (bilag 1, s. 4, tredje afsnit). Dette bestyrker formodningen om, at G2-virksomhed ikke har udført det fakturerede arbejde.

Endelig har selskabet ikke angivet salgsmoms i 4. kvartal 2018 - 2. kvartal 2019, hvor fakturaerne til sagsøgeren er dateret, selvom der er anført moms på fakturaerne (bilag A, s. 6, midtfor).

3.2.1.2 Nærmere om G4-virksomhed

Det fremgår af en udskrift fra CVR (bilag F), at G4-virksomhed (senere G4-virksomhed) startede den (red.fjernet.dato5) og er ophørt den (red.fjernet.dato6) (bilag F, s. 1). G4-virksomhed var indtil den 18. november 2019 registreret under branchekoden 412000 Opførelse af bygninger, hvorefter virksomheden blev registreret under kode 492000 godstransport med tog og skiftede navn til G4-virksomhed (bilag F, s. 2). De registrerede branchekoder har ikke umiddelbart nogen sammenhæng med det arbejde, sagsøgeren hævder, at G4-virksomhed skulle have udført.

Sagsøgeren har fremlagt én faktura udstedt af G4-virksomhed, som er dateret den 2. maj 2019 (bilag 4, s. 8). Fakturaen henviser i beskrivelsen alene til "Mandetimer", men indeholder ingen nærmere beskrivelse af arbejdsopgaverne. Fakturaen beskriver heller ikke tidspunktet for arbejdets udførelse.

G4-virksomhed har ikke været registreret med ansatte (bilag 1, s. 7, sidste afsnit). Dette skaber en formodning for, at G4-virksomhed ikke har udført det fakturerede arbejde, og denne formodning har sagsøgeren ikke afkræftet.

Det fremgår af fakturaen, at betaling skal ske til en bankkonto, som ikke tilhører G4-virksomhed (bilag A, s. 7, andet afsnit). Dette bestyrker formodningen om, at G4-virksomhed ikke har udført det fakturerede arbejde.

3.2.1.3 Nærmere om G3-virksomhed

Det fremgår af en udskrift fra CVR (bilag G), at G3-virksomhed blev stiftet den (red.fjernet.dato7) og er opløst efter konkurs den (red.fjernet.dato8). Selskabet har været under tvangsopløsning siden den (red.fjernet.dato14) (bilag G, s. 4), og den 12. marts 2021 blev konkursdekret afsagt (bilag G, s. 3).

Sagsøgeren har fremlagt 24 fakturaer udstedt af G3-virksomhed, som er dateret i perioden 14. maj - 16. december 2019 (bilag 4, s. 29-51 og bilag C). Der henvises til oversigten i Landsskatterettens afgørelser (f.eks. bilag 1, s. 5-6). Samtlige fakturaer henviser i beskrivelsen alene til "mandskabsudlejning" uden en nærmere beskrivelse af, hvad arbejdsopgaverne består i. Fakturaerne henviser til en periode på 1 uge (f.eks. bilag 4, s. 33), 2 uger (f.eks. bilag 4, s. 30) eller 1 måned (f.eks. bilag 4, s. 29), men ingen specifikke datoer for arbejdets udførelse.

Endelig er det på samtlige fakturaer anført, at det er "VIGTIGT", at der ved overførsel refereres til "jeres kundenummer (…) (red.fjernet.referencenr.)", og at betaling skal ske til en konto F2-bank. Det må anses som usædvanligt, at en fakturamodtager i forbindelse med betalingen skal anføre et kundenummer og ikke f.eks. et fakturanummer, som netop udgør en entydig identifikation af betaleren og det, der betales for.

Skattestyrelsen har ved kontrol af G3-virksomhed konstateret, at pengene betalt til G3-virksomhed's bankkonto i F2-bank videreoverføres til en bankkonto hos F3-bank i Y1-land, hvorfra pengene igen videreoverføres til konti i udlandet (bilag 1, s. 6, sidste afsnit - s. 7, første afsnit). G3-virksomhed har endvidere ikke afholdt udgifter til løn, der gør det muligt at levere de fakturerede ydelser (bilag 1, s. 7, andet afsnit).

Desuden har Retten i Glostrup den 25. oktober 2023 afsagt dom (SKM2023.634.BR) i en lignende skattesag som den foreliggende, hvor den pågældende sagsøger, ligesom H1, gjorde gældende, at G3-virksomhed havde ageret underleverandør for vedkommende med ret til fradrag for købsmoms til følge.

Retten i Glostrup fandt, at sagsøgeren i SKM2023.634.BR ikke havde ret til fradrag for købsmoms vedrørende blandt andet de udstedte fakturaer fra G3-virksomhed, ligesom retten fandt, at den pågældende sagsøger på denne baggrund var ansvarlig for manglende indeholdt A-skat og AM-bidrag.

3.2.2 Sagsøgeren har ikke løftet bevisbyrden for, at de hævdede underleverandører faktisk har leveret de hævdede arbejdsydelser

Ovennævnte usædvanlige forhold vedrørende de hævdede underleverandører skærper som nævnt sagsøgerens bevisbyrde for, at der er realitet bag de omhandlede fakturaerne i den forstand, at fakturaerne dækker over reelle leverancer af ydelser fra underleverandørerne, jf. eksempelvis SKM2009.325.ØLR og SKM2017.461.ØLR.

Denne bevisbyrde har sagsøgeren ikke løftet, og det er derfor med rette, at selskabet som sket er blevet nægtet fradrag for købsmoms for de hævdede udgifter til underleverandører.

Det forhold, at der måtte være sket betaling af beløb svarende til beløbene i de fremlagte fakturaer, dokumenterer ikke i sig selv, at der er sket levering af ydelser til sagsøgeren, jf. herved f.eks. SKM2021.394.BR, som er stadfæstet ved SKM2023.213.ØLR.

Ministeriet er ikke bekendt med, hvad der præcist er foregået i den foreliggende sag, og det påhviler heller ikke ministeriet at føre bevis herfor. En ganske sandsynlig forklaring på omstændighederne i sagen er dog, at de omstridte fakturaer er udstedt af såkaldte "fakturafabrikker".

Om "fakturafabrikker" kan generelt bemærkes, at brugen af "fakturafabrikker", der udsteder fiktive fakturaer, er en velkendt svindelmodel for virksomheder, der gerne vil hvidvaske penge og/eller opnå et uretmæssigt skatte- og momsmæssigt fradrag, selvom det fakturerede arbejde aldrig er blevet udført, eller virksomheden anvender sort arbejdskraft til at udføre arbejdet.

Brugen af fakturafabrikker fungerer almindeligvis således, at en virksomhed retter henvendelse til fakturafabrikken med beskrivelse af det, som den gerne vil have udstedt en faktura på. På baggrund af virksomhedens henvendelse udsteder fakturafabrikken en fiktiv faktura til virksomheden fra en anden virksomhed med et CVR-nr. i overensstemmelse med virksomhedens beskrivelse, der fordrer en betaling inklusive moms. Virksomheden betaler herefter den fiktive faktura på sædvanlig vis, f.eks. ved bank-overførsel. Herefter bogfører virksomheden den betalte faktura i regnskaberne, tager et evt. skattemæssigt fradrag for den fakturerede udgift og trækker momsen fra - selvom ydelsen faktisk ikke er leveret.

Bagmanden bag fakturafabrikken afregner ikke moms eller skat for den virksomhed, som den udstedte faktura angiver at være udstedt af, og virksomheden lukkes efterfølgende ned, evt. ved konkurs, med en stor gæld til statskassen. I nogle tilfælde er direktøren i fakturafabrikken en stråmand, der ikke selv har viden om, hvad der foregår i firmaet.

Når den udstedte faktura er blevet betalt, f.eks. ved en bankoverførsel, får den betalende virksomhed det betalte beløb tilbage - evt. i kontanter - fratrukket et honorar til bagmanden. Disse midler kan virksomheden så f.eks. bruge til at betale den reelle arbejdskraft "sort".

Skatteministeriet er som nævnt ikke bekendt med, hvad der præcist er foregået i den foreliggende sag, men der er meget, der taler for, at de hævdede underleverandørvirksomheder er blevet brugt som sådanne fakturafabrikker til at udstede fiktive fakturaer, hvilket for så vidt angår G3-virksomhed er yderligere understøttet af dommen fra Retten i Glostrup, hvor retten fandt, at bevisbyrden for, at der var sket levering af de fakturerede arbejdsydelser, ikke var løftet af den pågældende sagsøger.

Hvilke tiltag skattemyndighederne måtte have iværksat over for de hævdede underleverandører, herunder hvilke beløb skattemyndighederne måtte have anmeldt i konkursboerne efter disse, er uden betydning for afgørelsen af den foreliggende sag, da fradrag for købsmoms er betinget af, at der faktisk er sket levering af de fakturerede ydelser, jf. f.eks. sag C-114/22, W. sp. Z.o.o., præmis 31. Det er således ikke korrekt, som anført i replikken, s. 19, tredjesidste afsnit, at skattemyndighederne overvælter et tab på sagsøgeren for manglende opkrævning af moms hos de hævdede underleverandører.

3.3 Sagsøgeren er ansvarlig for betaling af manglende indeholdt A-skat og AM-bidrag

Sagsøgeren er ansvarlig for betaling af manglende indeholdt AM-bidrag med 45.624 kr. for perioden 1. oktober - 31. december 2018 og 393.084 kr. for 2019 samt A-skat med 288.579 kr. for samme periode i 2018 og 2.486.280 kr. for 2019 af ikke-indberettet løn til personer, som det må lægges til grund, har udført arbejde som ansatte hos sagsøgeren, jf. kildeskattelovens § 69, stk. 1, og arbejdsmarkedsbidragslovens § 7, jf. kildeskattelovens § 69, stk. 1.

Det følger af kildeskattelovens § 46, stk. 1, at ved enhver udbetaling af A-indkomst skal den, for hvis regning udbetalingen foretages, indeholde foreløbig skat i det udbetalte beløb. Det samme gælder for arbejdsmarkedsbidrag, jf. arbejdsmarkedsbidragslovens § 7.

Det er ubestridt, at sagsøgeren i den omhandlede periode har leveret arbejdsydelser til sine kunder, og at sagsøgeren har modtaget betaling fra sine kunder for dette arbejde. Det er videre ubestridt, at sagsøgeren ikke har rådet over tilstrækkelig registreret arbejdskraft eller udbetalt lønninger nok til selv at kunne have udført det arbejde, sagsøgeren har faktureret sine kunder for. Arbejdet må derfor nødvendigvis enten være udført af underleverandører eller af ansatte hos sagsøgeren, hvis lønninger ikke har været indberettet til skattemyndighederne, og der ikke har været indeholdt A-skat og AM-bidrag i.

Ministeriet bestrider af de anførte grunde i pkt. 3.2 ovenfor, at arbejdet er udført af de hævdede underleverandører, og at de fremlagte fakturaer således dækker over faktiske leverancer fra disse.

Sagsøgeren har - som beskrevet ovenfor under 3.2- ikke godtgjort, at de omhandlede fakturaer dækker over reelle leverancer af arbejdsydelser fra de hævdede underleverandører. Derfor må sagsøgerens registrerede ansatte enten have udført yderligere arbejde, som de ansatte har modtaget ikke-indberettet løn for, og/eller sagsøgeren må have haft yderligere ansatte end det oplyste til at udføre det arbejde. Det må derfor lægges til grund, at sagsøgeren har foretaget ikke-indberettede lønudbetalinger til ansatte, som virksomheden har været forpligtet til at indeholde A-skat og AM-bidrag af, jf. kildeskattelovens § 43, stk. 1, og § 46, stk. 1, og arbejdsmarkedsbidragslovens § 7.

Sagsøgeren har ikke angivet A-indkomst til skattemyndighederne for disse ansatte, og da størrelsen af A-indkomst ikke kan opgøres på grundlag af virksomhedens regnskaber, har skattemyndighederne været berettiget til efter opkrævningslovens § 5, stk. 2, at foretage en skønsmæssig ansættelse af A-indkomsten for disse ansatte med henblik på at opgøre den A-skat og det AM-bidrag, som sagsøgeren skulle have indeholdt i lønnen til disse ansatte efter kildeskattelovens § 46, stk. 1 og 2, og arbejdsmarkedsbidragslovens § 1, jf. § 2, stk. 1, nr. 1.

Skattestyrelsen har skønsmæssigt opgjort sagsøgerens indeholdelsespligtige lønudgifter på baggrund af beløbene ekskl. moms i de bogførte udgifter til de hævdede underleverandører (bilag A, s. 14).

Det må nemlig lægges til grund, at beløbene i de fremlagte fakturaer (bilag 4 og bilag C-D), som sagsøgeren har foretaget overførsler af, ikke udgør betaling til de hævdede underleverandører for disses arbejdsydelser til sagsøgeren, men er anvendt til at betale ovennævnte ikke-indberettede løn til de ansatte, som må anses for at have udført arbejdet, og som virksomheden har været forpligtet til at indeholde A-skat og AM-bidrag af, jf. kildeskattelovens § 43, stk. 1, og § 46, stk. 1, og arbejdsmarkedsbidragslovens § 7.

Når skattemyndighederne har været berettiget til at foretage en skønsmæssig ansættelse, som det er tilfældet i denne sag, kan den af myndighederne foretagne skønsmæssige ansættelse alene tilsidesættes, hvis sagsøgeren godtgør, at den skønsmæssige ansættelse hviler på et forkert grundlag eller er åbenbart urimelig, jf. f.eks. UfR 2009.476/2 H og UfR 2011.1458 H.

Sagsøgeren har ikke løftet denne bevisbyrde.

Det bemærkes, at sagsøgeren ikke har bestridt selve den skønsmæssige opgørelse af den indeholdelsespligtige løn, men alene har bestridt at sagsøgeren overhovedet har haft ansatte til at udføre det omhandlede arbejde for selskabets kunder. Sagsøgeren har imidlertid ikke godtgjort, at arbejdet er udført af de hævdede underleverandører, og at arbejdet således ikke er udført af sagsøgerens "sorte" ansatte, jf. ovenfor.

I medfør af kildeskattelovens § 69, stk. 1, og arbejdsmarkedsbidragslovens § 7, er sagsøgeren over for det offentlige ansvarlig for betaling af den manglende indeholdte A-skat og AM-bidrag, medmindre sagsøgeren kan godtgøre, at der ikke er udvist forsømmelighed ved iagttagelse af bestemmelserne i kildeskatteloven eller arbejdsmarkedsbidragsloven.

Det har sagsøgeren ikke godtgjort.

Sagsøgeren må derimod nødvendigvis have været klar over, at arbejdet blev udført af sagsøgerens egne ansatte. Sagsøgeren har selv ansatte og må derfor som arbejdsgiver være bekendt med, at der skal indeholdes A-skat og AM-bidrag af de vederlag, der udbetales til selskabets ansatte, og sagsøgeren har som følge heraf handlet forsømmeligt ved ikke at have indeholdt skat og AM-bidrag for den løn, der blev udbetalt for dette arbejde, jf. UfR 2008.2243 H og UfR 2012.2337 H."

Parternes advokater har under hovedforhandlingen gentaget og uddybet deres synspunkter, og oplyst bl.a., at de beløbsmæssige opgørelser, der er omhandlet i sagen, ikke er omtvistet.

Rettens begrundelse og resultat

Spørgsmålet om, hvorvidt H1 er berettiget til fradrag for købsmoms, og om selskabet er ansvarlig for manglende indeholdelse af A-skat og arbejdsmarkedsbidrag relaterer sig til selskabets betaling af i alt 37 fakturaer, der er udstedt af underleverandørerne, G2-virksomhed, G3-virksomhed og G4-virksomhed for perioden fra den 1. oktober 2018 til den 31. december 2019, hvor H1 har udført arbejde hovedsagelig for G1-virksomhed. H1 har betalt fakturaerne fra underleverandørerne ved bankoverførsel, og selskabet har modtaget betaling for arbejderne udført for G1-virksomhed.

Af de omhandlede fakturaer er 12 fakturaer udstedt af G2-virksomhed, 24 fakturaer er udstedt af G3-virksomhed, og en enkelt faktura er udstedt af G4-virksomhed. Fakturaerne omfatter arbejdsydelser, der er beskrevet som mandetimer, mandskabsudlejning og tilkald og for så vidt angår fakturaer fra G3-virksomhed også med angivelser af en periode fra en dato til en anden samt med angivelse af en uge for leveringen af ydelserne. Fakturaerne fra G2-virksomhed og G4-virksomhed indeholder ikke angivelser af periode eller tidspunkt for udførelsen af arbejderne. For samtlige fakturaer er der således ikke anført præcise datoer for ydelser, karakteren af arbejderne er ikke nærmere angivet, og fakturaerne indeholder heller ikke angivelser af, hvor arbejderne er udført eller hvilke personer, der faktisk har udført arbejdet.

Efter det oplyste og med henvisning til de forklaringer, der er afgivet under hovedforhandlingen, blev alle aftaler mellem H1 og underleverandørerne om levering af arbejdsydelser indgået mundtligt, og der foreligger ikke arbejds- eller timesedler for arbejdet. Der er i øvrigt ikke fremlagt mandskabsopgørelser eller korrespondance til nærmere belysning af ydelserne ifølge fakturaerne. Det er endvidere oplyst, at aftaler om arbejde mellem H1 og G1-virksomhed blev indgået mundtligt. Der foreligger derfor ikke samarbejdsaftaler hverken mellem H1 og underleverandørerne eller mellem H1 og G1-virksomhed.

Det fremgår af udskrifter fra Erhvervsstyrelsen, at G2-virksomhed, senere G2-virksomhed, blev stiftet den (red.fjernet.dato3). Den (red.fjernet.dato13) blev der indledt tvangsopløsning af iværksætterselskabet. Konkursdekret blev afsagt den (red.fjernet.dato12), og selskabet blev opløst den (red.fjernet.dato4). Det registrerede formål for G2-virksomhed var projektering, produktion og montering af ventilationsanlæg og dermed beslægtet virksomhed, og iværksætterselskabet har ikke været registreret med ansatte. Det er oplyst, at iværksætterselskabet i øvrigt ikke har angivet salgsmoms i den periode, hvor selskabet har udstedt fakturaer til H1, selvom moms er anført på fakturaerne fra selskabet. G3-virksomhed blev stiftet den (red.fjernet.dato7), og selskabet blev taget under tvangsopløsning den (red.fjernet.dato14). Den 12. marts 2021 blev selskabet taget under konkursbehandling, og den (red.fjernet.dato8) blev selskabet opløst. Efter det i øvrigt oplyste, må det lægges til grund, at G3-virksomhed ikke har afholdt sådanne lønudgifter, der har gjort det muligt at levere de ydelser, som er anført på selskabets fakturaer. Virksomheden i G4-virksomhed, senere G4-virksomhed, der var registreret som enkeltmandsvirksomhed, blev påbegyndt den (red.fjernet.dato10) og ophørte den (red.fjernet.dato6). Virksomheden, der først var registreret med branchekoden, nedrivning, og senere med koden, godstransport med tog, har ikke været registreret med ansatte. På den faktura, der er udstedt af virksomheden, er det anført, at betaling skal foretages til en bankkonto, der ikke tilhørte virksomheden.

Retten finder med henvisning til indholdet af de fakturaer, der er udstedt af G2-virksomhed, G4-virksomhed og G3-virksomhed, at betingelserne i dagældende momsbekendtgørelse § 58 ikke er opfyldt, bl.a. med hensyn til mere præcise krav om angivelser af leverede ydelser og tidspunkter for levering. Fakturaerne udgør ikke et tilstrækkeligt grundlag for myndighedernes kontrol med rigtigheden af oplysningerne, og H1 er derfor pålagt en skærpet bevisbyrde med hensyn til at godtgøre, at der har været tale om underleverandørforhold, der har kunnet føre til fradrag af moms på grundlag af bl.a. reelle leveringer og betalinger af ydelser, jf. momslovens § 37, stk. 1.

Efter en samlet vurdering af de oven for nævnte forhold finder retten, at H1 ikke har løftet selskabets bevisbyrde for, at det omhandlede arbejde reelt er udført af underleverandørerne, og Skatteministeriets påstand om frifindelse for så vidt angår nedsættelse af et momstilsvar for H1 tages derfor til følge.

På denne baggrund lægger retten endvidere til grund, at ansatte hos H1 har udført de arbejder, som er omfattet af fakturakravene fra underleverandørerne, og at H1 i medfør af kildeskattelovens § 43, stk. 1, og § 46, stk. 1, samt arbejdsmarkedsbidragsloven har været forpligtet til at indeholde A-skat og arbejdsmarkedsbidrag for de pågældende ydelser. Det er ubestridt, at H1 ikke har foretaget sådanne indeholdelser til skattemyndighederne.

Efter det foreliggende har H1 ikke godtgjort, at der ikke er udvist forsømmelighed som årsag til den manglende indeholdelse af A-skat og arbejdsmarkedsbidrag, og selskabet kan derfor over for det offentlige anses for at være ansvarlig for betaling af de manglende beløb, jf. kildeskattelovens § 69, stk. 1. Skattemyndighederne har herefter i medfør af opkrævningslovens § 5, stk. 2, været berettiget til skønsmæssigt at foretage ansættelse af A-indkomst for de pågældende ansatte hos H1 med henblik på at opgøre A-skat og arbejdsmarkedsbidrag, som selskabet skulle have indeholdt i løn til de ansatte, jf. kildeskattelovens § 46, stk. 1 og 2, og arbejdsmarkedsbidragslovens § 1, jf. § 2, stk. 1, nr. 1.

De beløbsmæssige opgørelser er ikke omtvistet under sagen, og det findes i øvrigt ikke godtgjort, at beløbene er skønsmæssigt ansat på et forkert grundlag, eller at beløbene er åbenbart urimelige.

Skatteministeriets påstand om frifindelse for påstandene om nedsættelse af indeholdelsespligtig A-skat og arbejdsmarkedsbidrag tages herefter også til følge.

Retten finder, at de afgivne forklaringer, herunder forklaringerne fra vidner, der nu er ansat hos H1, ikke kan føre til et andet resultat, og der er efter resultatet ikke anledning for retten til at tage stilling til de subsidiære påstande, der er nedlagt af H1.

Sagsomkostningerne er efter sagens værdi, der er angivet til 4.597.892 kr., forløb og udfald fastsat til dækning af udgifter til advokatbistand for Skatteministeriet med 242.000 kr. Skatteministeriet er ikke momsregistreret.

Udgifter, som H1 foreløbig har afholdt til vidneførsel og tolkebistand, skal endeligt betales af selskabet.

THI KENDES FOR RET:

Skatteministeriet frifindes.

H1, skal inden 14 dage til Skatteministeriet betale sagens omkostninger med 242.000 kr.

Sagsomkostningerne bliver forrentet efter rentelovens § 8 a.