Dokumentets metadata

Dokumentets dato:29-01-2019
Offentliggjort:19-03-2019
SKM-nr:SKM2019.163.SR
Journalnr.:18-1908524
Referencer.:Fusionsskatteloven
Aktieavancebeskatningsloven
Dokumenttype:Bindende svar


Ophørsspaltning og overdragelse med succession

Skatterådet kunne bekræfte, at den beskrevne ophørsspaltning af G1 opfyldte betingelserne for at kunne gennemføres skattefrit uden tilladelse fra Skattestyrelsen efter fusionsskattelovens § 15 a, stk. 1. 4. pkt. samt, at anpartshaveren B ikke beskattes ved ophørsspaltningen. Skatterådet kunne endvidere bekræfte, at B umiddelbart efter spaltningen af G1 kunne overdrage nom. 11.250 B-anparter i G12 til sit stedbarn barn1 og 11.250 B-anparter i G12 til sit stedbarn barn2 efter reglerne om skattemæssig succession i aktieavancebeskatningslovens § 34.


Offentliggjort i redigeret form.

Spørgsmål

  1. Kan Skatterådet bekræfte, at den beskrevne ophørsspaltning af G1 opfylder betingelserne for at kunne gennemføres skattefrit uden tilladelse fra Skattestyrelsen efter fusionsskattelovens § 15 a, stk. 1. 4. pkt. samt at anpartshaveren B ikke beskattes ved ophørsspaltningen?
  2. Kan Skatterådet bekræfte, at B umiddelbart efter spaltningen af G1 kan overdrage nom. 11.250 B-anparter i G12 til sit stedbarn barn1 efter reglerne om skattemæssig succession i aktieavancebeskatningslovens § 34?
  3. Kan Skatterådet bekræfte, at B umiddelbart efter spaltningen af G1 kan overdrage nom. 11.250 B-anparter i G12 til sit stedbarn barn2 efter reglerne om skattemæssig succession i aktieavancebeskatningslovens § 34?

Svar

  1. Ja
  2. Ja
  3. Ja

Beskrivelse af de faktiske forhold

Nærværende anmodning om bindende svar er opstået som følge af et påtænkt generationsskifte af G1.

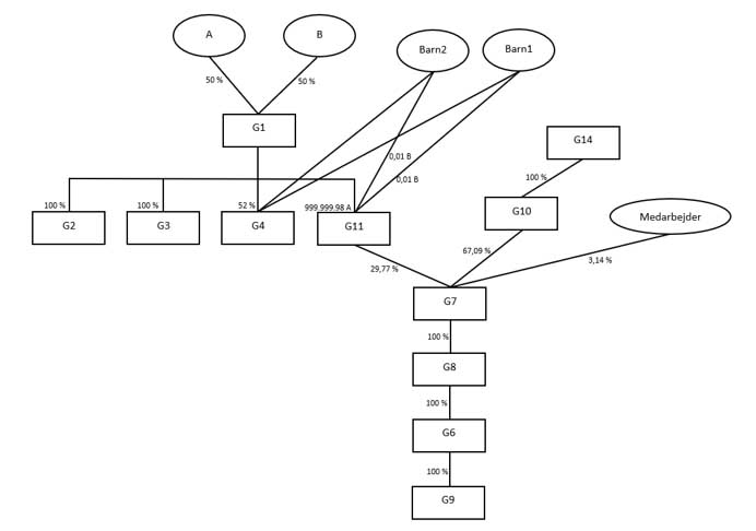
A og B ejer hver 50% af kapitalen i G1.

A og B har et fællesbarn barn3, derudover har A to særbørn, barn2 og barn1.

G1's regnskabsår løber fra 1. juli - 30. juni.

A og B har ejet anparterne i G1 i mere end 3 år i skattemæssig henseende. A har siden 19xx ejet hele anpartskapitalen i G1, hvorefter A i 20xx overdrog 50% af anparter til B efter bestemmelserne om succession i kildeskattelovens § 26 B.

G1 ejer 100% af kapitalen i G2 og G3.

Endvidere ejer G1 52% af kapitalen af G4. De øvrige anparter ejes af barn2 og barn1.

Derudover ejer G1 nom. 999.999,98 kr. A-anparter svarende til 100% af stemmerne i G11. De resterende anparter svarende til nom. 0,02 kr. B-anparter ejes af barn2 med nom. 0,01 kr. B-anparter og barn1 med nom. 0,01 kr. B-anparter.

I slutningen af 20xx solgte G1 sit tidligere 100% ejede datterselskab G9 til G6, c/o G14, hvorefter G1 foretog en reinvestering således, at G11 i dag ejer 29,77% af kapitalen i G7.

G7 ejer hele anpartskapitalen i G8, der igen ejer hele kapitalen i G6. G6 ejer hele kapitalen i G9.

G10 ejer 67,09% og ledende medarbejder ejer 3,14% i G7.

G10 ejes ifølge det rådgiver oplyste af G14.

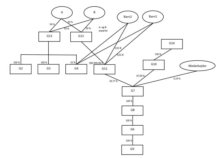
I forbindelse med generationsskiftet ønsker A og B at bevare kontrollen af selskaberne G12 og G13.

Der påtænkes gennemført en skattefri ophørsspaltning af G1 uden tilladelse fra SKAT til to nye selskaber G12 og G13. Anparterne i G11 og et tilgodehavende på G11 samt likvide beholdninger overføres som led i spaltningen til G12 og de øvrige aktiver overføres som led i spaltningen til G12. Øvrige aktiver og passiver fordeles i henhold til spaltningsbalancen pr. juli 20xx. Skatterådet kan lægge til grund, at der ikke vil eksistere nogen gældsforpligtelser på tidspunktet for gennemførelse af spaltningen, dvs. på vedtagelsestidspunktet.

G12 stiftes med forskellige anpartsklasser, hvor A-anparterne (5.000 A-anparter) får 100% af stemmerne, men ikke har nogen udbytteret og alene har ret til et beløb på nominel værdi af anparterne ved likvidation og B-anparterne (nom. 45.000 B-anparter) får alle økonomiske rettigheder derudover.

Spaltningen påtænkes gennemført med selskabsretlig spaltningsdato juli 20xx.

Ved spaltningen vederlægges A og B udelukkende med anparter i G12 og G13. Der ydes således ikke kontantvederlag.

Der er ikke tilknyttet ejertidsnedslag til nogle af A og B anparter i G1.

Gennemførte dispositioner inden spaltningen

G1 stiftede i april måned 20xx et nyt selskab G11, der blev oprettet med nom. 999.999,98 kr. A-anparter og nom. 0,02 kr. B anparter. A-anparterne har alle stemmerne og har forlodsret til udbytte svarende til markedsværdien af G7 per april 20xx fastsat til x-antal kr. med tillæg af et årligt tillæg på 4% p.a. Når A-anparterne har modtaget deres forlodsret til udbytte, har B-anparterne alene ret til udbytte. G1's første regnskabsår løber fra april 20xx - juni 20xx.

Herefter indskød G1 alle anparter i G7 til G11.

Dernæst overdrog G1 alle B-anparterne i G11 til A og B, der herefter som led i generationsskiftet overdrog alle deres B-anparter i G11 til barn2 (modtog nom. 0,01 kr. anparter) og barn1 (modtog nom. 0,01 kr. anparter).

Juni 20xx udlånte G11 x-antal kr. til G7 med en konverteringsret til at tegne nye aktier i det omfang medanpartshaveren G10 tegner nye anparter i G7 med henblik på at undgå udvanding af ejerandele.

Påtænkte dispositioner efter spaltningen

Efter ophørsspaltningen påtænker A og B som led i en gaveoverdragelse at overdrage B-anparter i G12 med skattemæssig succession til barn2 og barn1.

A, B, barn2 og barn1 er alle fuldt skattepligtig til Danmark efter kildeskattelovens § 1. Betingelsen i aktieavancebeskatningslovens § 34, stk. 3, er således opfyldt.

Skatterådet kan lægge til grund, at der ved en skattepligtig overdragelse af A's og B's anparter vil være en skattepligtig gevinst således, at det er muligt at anvende aktieavancebeskatningslovens § 34 om skattemæssig succession.

Spørgers opfattelse og begrundelse

Spørgsmål 1:

Kan Skatterådet bekræfte, at den beskrevne ophørsspaltning af G1 opfylder betingelserne for at kunne gennemføres skattefrit uden tilladelse fra Skatteforvaltningen efter fusionsskattelovens § 15 a, stk. 1. 4. pkt. samt at anpartshaveren B ikke beskattes ved ophørsspaltningen?

Såvel det indskydende selskab som de modtagende selskaber er omfattet af begrebet "selskab" i en medlemsstat i artikel 3 i direktiv 2009/133/EF, og de pågældende selskaber beskattes her i landet, hvorfor de ikke anses for transparente enheder, jf. fusionsskattelovens § 15 a, stk. 1, 1. pkt.

Det fremgår af spørgsmål 30 (L 202 - Harmonisering af selskabers aktie- og udbyttebeskatning m.v.) til lov nr. 525 af 12. juni 2009 og SKM2010.65.SR, at holdingkravet ikke gælder, når anpartshaverne i de modtagende selskaber er fysiske personer. Derfor vil A og B kunne afstå deres anparter i de to nystiftede anpartsselskaber, uden at det er i strid med holdingkravet, idet anpartshaverne er fysiske personer.

Reglerne om skattefri spaltning uden tilladelse kan endvidere ikke benyttes, hvis følgende 3 betingelser alle er opfyldt, jf. fusionsskattelovens § 15 a, stk. 1, 8. pkt.:

  1. Det indskydende selskab har mere end én selskabsdeltager, og
  2. En eller flere af disse har været selskabsdeltagere i mindre end tre år uden at have rådet over flertallet af stemmerne, og
  3. De pågældende selskabsdeltagere samtidig er selskabsdeltagere i det modtagende selskab, hvor de tilsammen råder over flertallet af stemmerne.

Det indskydende og de modtagende selskaber har i denne sag to selskabsdeltagere - A og B - der begge i skattemæssig henseende har været ejere i mere end 3 år -, hvorfor ejertidskravet i bestemmelsens 8. pkt. ikke er til hinder for gennemførslen af en skattefri spaltning uden tilladelse. Der henvises i den forbindelse til SKM 2012 685 SR, SKM 2007 791 SR og SKM 2007 921 SR, hvori det fastslås, at medregnet ejertid ved en forudgående succession tæller med ved opgørelsen af 3 års perioden.

Der er tale om en ophørsspaltning, hvor der for de deltagende selskabers vedkommende ophører og etableres en ny koncernforbindelse som nævnt i fusionsskattelovens § 5, stk. 3. G1 udgår af sambeskatningen med de øvrige sambeskattede selskaber G2, G3, G11 og G4. G13 bliver nyt administrationsselskab i sambeskatningen for G2, G3 og G4. G12 bliver nyt administrationsselskab i sambeskatningen med G11.

Den selskabsretlige spaltningsdato fastsættes med tilbagevirkende kraft til juli 20xx, men den skattemæssige fusionsdato, jf. sambeskatningsbestemmelsen i fusionsskattelovens § 5, stk. 3, er tidspunktet for ophør af koncernforbindelsen, dvs. vedtagelsesdatoen for spaltningen, jf. SKM2006.498.SR. Konsekvensen bliver herefter, at der skal udfærdiges perioderegnskaber (delårsopgørelser).

Af fusionsskattelovens § 15 a, stk. 2, 2. pkt., fremgår, at værdien af de tildelte anparter med tillæg af en eventuel kontant udligningssum skal svare til handelsværdien af de overførte aktiver og passiver.

Ved spaltningen ønskes kapitalandelene i G11 overført til G12 og kapitalandelene i G2, G3 og G4 overført til G13. Spaltningen gennemføres således ikke pro-rata. Der stilles ikke krav om pro-rata fordeling i fusionsskatteloven.

Da A og B er eneste anpartshavere med 50% hver i det ophørsspaltede selskab, G1, ligesom de bliver anpartshavere med 50% hver i de nystiftede holdingselskaber, G12 og G13, vil der ikke ske formueforskydning uanset om der anvendes regnskabsmæssige værdier eller handelsværdier (såfremt disse er forskellige), jf. SKM2007.699.SR og SKM2015.299.SR.

I SKM2007.699.SR, var et selskab ejet ligeligt af 4 personer. Selskabet blev spaltet skattefrit til 4 nystiftede modtagende selskaber, hvor hvert selskab modtog en andel på ¼ af samtlige aktiver og gældsforpligtelser i det indskydende selskab. Spaltningen opfyldte betingelsen om, at værdien af vederlagsaktierne skulle svare til handelsværdien af de overførte aktiver og passiver, hvis spaltningen regnskabsmæssigt blev foretaget på basis af de regnskabsmæssigt bogførte værdier og hver anpartshaver blev 100 pct. anpartshaver i et af de modtagende selskaber. Værdien af de modtagne aktier måtte pr. definition svare til handelsværdien, selvom spaltningen skete til regnskabsmæssige værdier.

Under SKATs indstilling og begrundelse blev det om Skatteministerens svar til FSR i bilag 1 anført, at "Det er SKATs opfattelse, at Skatteministerens svar skal forstås således, at hvis f.eks. en eneaktionær spalter sit selskab, vil de modtagne aktier pr. definition svare til handelsværdien, selv om de selskabsretlige dokumenter er regnskabsmæssige værdier, idet der ikke er andre, der ejer aktiver i selskabet. Det samme må gælde, hvis der er flere aktionærer, der spalter deres selskab til et nystiftet selskab. Hvis aktionærerne modtager aktier i samme forhold i det nye selskab, samt at aktiver og passiver fordeles i det nævnte forhold, må værdien af deres aktier pr. definition svare til handelsværdien, selvom spaltningen er sket til regnskabsmæssige værdier. I disse situationer sker der ikke formueforrykkelser mellem aktionærer eller flyttes værdier fra yngre til ældre aktier".

Efter vores opfattelse må betingelsen i fusionsskattelovens § 15 a, stk. 2, 2. pkt. derfor anses for at være opfyldt.

Efter fusionsskattelovens § 15 a, stk. 2, 3. pkt., er det endvidere et krav, at forholdet mellem aktiver og forpligtelser, der overføres til de modtagende selskaber, svarer til forholdet mellem aktiver og forpligtelser i det indskydende selskab.

Den skattemæssige spaltningsdato, jf. fusionsskattelovens § 5, stk. 3, er tidspunktet for ophør af koncernforbindelsen, dvs. vedtagelsesdatoen for spaltningen. Ifølge Skatterådet afgørelse SKM2009.645.SR skal vurderingen af forholdet mellem aktiver og forpligtelser efter fusionsskattelovens § 15a, stk. 2, 3. pkt. ske pr. vedtagelsesdatoen, og ikke på det selskabsretlige spaltningstidspunkt juli 20xx.

Efter vores opfattelse må betingelsen i fusionsskattelovens § 15 a, stk. 2, 3. pkt. derfor anses for at være opfyldt, hvis forholdet mellem aktiver og forpligtelser i G1, der bliver overført til de to modtagende selskaber G12 og G13 på vedtagelsestidspunktet, fastsættes på baggrund af de regnskabsmæssige værdier i spaltningsbalancen eller at samtlige gældsposter er betalt ud og der dermed ikke eksisterer nogen forpligtelser på tidspunktet for vedtagelse af spaltningen.

Skatterådet kan lægge til grund, at samtlige gældsposter er betalt ud og der dermed ikke eksisterer nogen forpligtelser på tidspunktet for vedtagelse af spaltningen.

Vi henviser i øvrigt til Skatterådets bindende svar offentliggjort som SKM2015.299.SR, hvor Skatterådet bekræftede, at ophørsspaltningen af et A/S opfyldte betingelserne for at kunne gennemføres skattefrit efter de objektive regler i, jf. fusionsskattelovens § 15 a, stk. 1, 4. pkt.

Sammenfatning

Det er vores opfattelse, at man den foreslåede fordeling af aktiver og passiver i de to modtagne selskaber opfylder disse betingelser:

Vi finder på baggrund heraf, at den påtænkte ophørsspaltning opfylder betingelserne for at kunne gennemføres skattefrit efter de objektive regler i fusionsskattelovens § 15 a, stk. 1, 4. pkt.

Sammenfattende er det således vores opfattelse at spørgsmålet 1 skal besvares med et "Ja".

Spørgsmål 2:

Kan Skatterådet bekræfte, at B umiddelbart efter spaltningen af G1 kan overdrage nom. 11.250 B-anparter i G12 til sit stedbarn barn1 efter reglerne om skattemæssig succession i aktieavancebeskatningslovens § 34?

Efter vores opfattelse er alle betingelser i aktieavancebeskatningslovens § 34 opfyldt, jf. vores redegørelse nedenfor:

    1. Overdragelsen sker til børn, børnebørn, søskende, søskendes børn, søskendes børnebørn eller en samlever, hvorved forstås en person, som på overdragelsestidspunktet opfylder betingelserne i boafgiftslovens § 22, stk. 1, litra d. Stedbarns- og adoptivforhold sidestilles med naturligt slægtskabsforhold.

Barn2 og barn1 er børn af A.

B er stedmor til barn2 og barn1 i kraft af, at B er gift med A. Det skal i denne forbindelse nævnes, at A og B blev gift i 20xx, og at barn2 og barn1 i ca. 50% af deres barndom boede hos A og B.

Betingelsen i aktieavancebeskatningslovens § 34, stk. 1, nr. 1 om at overdragelsen sker til børn og at stedbørn sidestilles med naturligt slægtsforhold er derfor opfyldt.

    1. Den enkelte overdragelse af aktier udgør mindst 1 pct. af aktie- eller anpartskapitalen.

Overdragelsen af nom. 11.250 B-anparter i G12 svarer til 22,5 % af den nominelle anpartskapital i selskabet, hvorfor betingelsen er opfyldt.

    1. Der er tale om anparter i et selskab, hvis virksomhed ikke i overvejende grad består af passiv kapitalanbringelse.

Ifølge aktieavancebeskatningslovens § 34, stk. 6 anses et selskabs virksomhed for i overvejende grad at bestå i "passiv kapitalanbringelse", hvis mindst én af følgende betingelser er opfyldt:

Har selskabet eksisteret i mindre end tre år, foretages vurderingen ud fra de år, selskabet har eksisteret. I tilfælde, hvor et selskab er stiftet ved en skattefri omstrukturering af et tidligere selskab m.v., foretages bedømmelsen ud fra de regnskabsår, det nye selskab har eksisteret, jf. afsnit C.B.2.13.1 i Den Juridiske Vejledning 2018-1. Der kan i den forbindelse henvises til SKM2006.627.SR, hvor skatterådet udtalte, at det var uden betydning, at et spaltet selskab var et finansielt selskab (pengetank) før spaltningen. Afgørende var om de selskaber, der skulle overdrages, og som var opstået ved spaltningen, opfyldte virksomhedskravet. I SKM2006.627 bekræftede skatterådet, at det efter en påtænkt spaltning var muligt, at overdrage aktierne til aktionærens sønner efter reglerne om succession efter aktieavancebeskatningslovens § 11 (nu § 34).

Dette er i overensstemmelse med forarbejderne til bestemmelsen, hvor Skatteministeriet i forbindelse med lovbehandlingen af L 194 (2001/02) blev forespurgt, hvordan gennemsnitsberegningen skal foretages, såfremt selskabet forinden har deltaget i en skattefri omstrukturering. Skatteministeriet besvarede spørgsmålet som følger (svar på spørgsmål 15 f i L 194 - bilag 19):

"Det bemærkes, at det ikke gør nogen forskel ved besvarelsen, om den pågældende transaktion er skattefri efter reglerne i fusionsskatteloven eller den pågældende transaktion er skattepligtig.

Efter reglerne i aktieavancebeskatningslovens § 11, stk. 9 [nu: aktieavancebeskatningslovens § 34, stk. 6], tages for så vidt angår selskabets indtægter gennemsnittet af de seneste 3 regnskabsår i selskabet. For så vidt angår selskabets aktivmasse skal den udregnes som gennemsnittet af de seneste 3 års regnskaber for selskabet og opgøres på overdragelsestidspunktet.

I det tilfælde, hvor det pågældende selskab er nystiftet, og det på overdragelsestidspunktet endnu ikke har eksisteret i 3 fulde regnskabsår, indgår derfor alene de regnskabsår, som selskabet har. Der er derimod ikke hjemmel til at medregne regnskabsår for andre selskaber. Kun selskabets egne regnskabsår kan indgå i opgørelsen således, at indtægter og aktiver i andre selskaber ikke indgår.

I det tilfælde, hvor et selskab er fusioneret med et andet selskab, ophører det indskydende selskab ved fusionen. Ved opgørelsen af, om aktier i eksempelvis det modtagende selskab kan overdrages med succession, indgår regnskabsår for det modtagende selskab forud for fusionen ved opgørelsen af gennemsnittet for de sidste 3 år for indtægter og aktiver. Der er derimod ikke hjemmel til at medregne regnskabsår og dermed indtægter og aktiver for det indskydende selskab.

Tilsvarende gælder ved tilførsel af aktiver og spaltninger. Drejer det sig om overdragelse af aktier i eksempelvis et modtagende selskab indgår dette selskabs egne regnskabsår, men ikke det indskydende selskabs indtægter og aktiver forud for omstruktureringen."

Denne fortolkning af reglerne er ligeledes lagt til grund i administrativ praksis, jf. den ovennævnte afgørelse SKM 2006.627.SR, hvor Skatterådet udtalte, at det var uden betydning, at et spaltet selskab var et finansielt selskab (pengetank) før spaltningen. Afgørende var, om de selskaber, der skulle overdrages, og som var opstået ved spaltningen, opfyldte den finansielle brøk.

Dette betyder de facto, at den finansielle brøk i G12 kun skal beregnes ud fra værdierne af aktiverne på tidspunktet for overdragelse af anparterne. I den forbindelse skal SKM2006.627.SR, hvor Skatterådet udtalte, at det var uden betydning, at et spaltet selskab var et pengetankselskab før spaltningen. Det afgørende var om de selskaber, der skulle overdrages, og som var opstået ved spaltningen, opfyldte kravet.værdien af aktier og anparter i datterselskaber, hvori selskabet direkte eller indirekte ejer mindst 25 pct. af anparts- eller aktiekapitalen m.v., medregnes med den del af datterselskabets indtægter og aktiver, som svarer til ejerforholdet.

Pengetanksopgørelse: [Tabel udeladt af hensyn til tavshedspligt]

Handelsværdien af G12's ejendomme, kontanter, værdipapirer el.lign. på anparternes overdragelsestidspunkt udgør mindre end 50 pct. af handelsværdien af selskabets samlede aktiver. G12's virksomhed anses derfor ikke i overvejende grad at bestå i "passiv kapitalanbringelse".

Betingelsen i aktieavancebeskatningslovens § 34, stk. 1, nr. 3 om, at G12's virksomhed ikke i overvejende grad består i "passiv kapitalanbringelse" anses derfor for opfyldt.

    1. Anparterne er ikke omfattet af aktieavancebeskatningslovens § 19.

SKAT kan ved besvarelsen lægge til grund, at G12 vil blive beskattet efter bestemmelsen i selskabsskattelovens § 1, stk. 1, nr. 1 og at anparterne i G12 ikke vil være omfattet af investeringsselskaber som nævnt i aktieavancebeskatningslovens § 19.

Sammenfattende er det således vores opfattelse at spørgsmålet 2 skal besvares med et "Ja".

Spørgsmål 3:

Kan Skatterådet bekræfte, at B umiddelbart efter spaltningen af G11 kan overdrage nom. 11.250 B-anparter i G12 til sit stedbarn barn2 efter reglerne om skattemæssig succession i aktieavancebeskatningslovens § 34?

Der henvises til vores opfattelse og besvarelse vedrørende spørgsmål 2.

Sammenfattende er det således vores opfattelse at spørgsmålet 3 skal besvares med et "Ja".

Skattestyrelsens indstilling og begrundelse

Spørgsmål 1

Det ønskes bekræftet, at den beskrevne ophørsspaltning af G1 opfylder betingelserne for at kunne gennemføres skattefrit uden tilladelse fra Skattestyrelsen efter fusionsskattelovens § 15 a, stk. 1. 4. pkt. samt at anpartshaveren B ikke beskattes ved ophørsspaltningen.

Begrundelse

En spaltning er en transaktion, hvor et selskab overfører en del af eller samtlige sine aktiver og passiver til et eller flere eksisterende eller nye selskaber ved i samme forhold som hidtil at tildele sine selskabsdeltagere aktier eller anparter og eventuelt en kontant udligningssum, jf. fusionsskattelovens § 15 a, stk. 2.

Såvel det indskydende selskab som de modtagende selskaber er omfattet af begrebet selskab i en medlemsstat i artikel 3 i direktiv 2009/133/EF og anses ikke ved beskatningen her i landet for en transparent enhed, hvorfor betingelsen herom i fusionsskattelovens § 15a, stk. 1, 1. pkt. er opfyldt.

Selskaber, der efter spaltningen ejer mindst 10 pct. af kapitalen i et af de deltagende selskaber eller besidder skattefri porteføljeaktier, må ikke afstå aktier i det eller de pågældende selskaber i en periode på tre år efter vedtagelsen af spaltningen. Denne betingelse, som kaldes holdingkravet, er fastsat i fusionsskattelovens § 15 a, stk. 1, 5. pkt.

Holdingkravet gælder imidlertid kun selskabsaktionærer mv. og ikke personlige aktionærer, hvorfor B vil kunne afstå sine anparter i de to nystiftede selskaber uden et holdingkrav.

Reglerne om skattefri spaltning uden tilladelse kan ikke benyttes, hvis det indskydende selskab har mere end én selskabsdeltager, og en eller flere af disse har været selskabsdeltagere i mindre end tre år uden at have rådet over flertallet af stemmerne, og de pågældende selskabsdeltagere samtidig er selskabsdeltagere i det modtagende selskab, hvor de tilsammen råder over flertallet af stemmerne, jf. fusionsskattelovens § 15a, stk. 1, 8. pkt.

Skatterådet bekræftede imidlertid i SKM2014.365.SR, at ejertid optjent ved succession medregnes ved opgørelsen af, om aktionæren har været selskabsdeltager i mere end 3 år. B er således indtrådt i A's ejertid af anparterne ved overdragelsen af 50 % af anparterne med succession i 20xx, hvorfor begge anpartshavere skattemæssigt anses for at have været anpartshavere i G1 i mindst tre år.

Det er et krav, at betingelserne i fusionsskattelovens § 5 til fusionsdatoen er opfyldt.

Spaltningen skal ske til handelsværdi, hvilket betyder, at værdien af de tildelte aktier eller anparter med tillæg af en eventuel kontant udligningssum svarer til handelsværdien af de overførte aktiver og passiver, jf. fusionsskattelovens § 15a, stk. 2, 2. pkt.

Det fremgår af SKM2015.299.SR, der henviser til SKM2007.699.SR, at hvis f.eks. en eneaktionær spalter sit selskab, vil de modtagne aktier pr. definition svare til handelsværdien, selv om de selskabsretlige dokumenter er regnskabsmæssige værdier, idet der ikke er andre, der ejer aktier i selskabet. Der må gælde det samme, hvis der er flere aktionærer, der spalter deres selskab til et nystiftet selskab. Hvis aktionærerne modtager aktier i samme forhold i det nye selskab, samt at aktiver og passiver fordeles i det nævnte forhold, må værdien af deres aktier pr. definition svare til handelsværdien, selv om spaltningen er sket til regnskabsmæssige værdier.

Da A og B er eneste anpartshavere med 50% hver i det ophørsspaltede selskab, G1, ligesom de bliver anpartshavere med 50% hver i de nystiftede holdingselskaber, G12 og G13, vil der ikke ske formueforskydning, uanset om der anvendes regnskabsmæssige værdier eller handelsværdier, jf. SKM2015.299.SR og SKM2007.699.SR.

Det fremgår af Den juridiske vejledning, afsnit C.D.7.2.1 Hovedregler vedrørende spaltning, at det er en betingelse, at forholdet mellem de aktiver og de forpligtelser, der ved spaltningen overdrages til det modtagende selskab, svarer til forholdet mellem aktiver og forpligtelser i det indskydende selskab. Se FUL § 15 a, stk. 2, 3. pkt.

I nærværende sag har rådgiver oplyst, at Skatterådet kan lægge til grund for besvarelsen, at samtlige gældsposter er betalt ud og der dermed ikke eksisterer nogen forpligtelser på tidspunktet for vedtagelse af spaltningen. Der vil derfor heller ikke være forpligtelser i de modtagende selskaber. Forholdet mellem aktiver og forpligtelser, der overføres til de modtagende selskaber svarer derfor til forholdet mellem aktiver og passiver i det indskydende selskab. Det er derfor Skattestyrelsen opfattelse, at spaltningen opfylder betingelsen i fusionsskattelovens § 15a, stk. 2, 3. pkt.

Det er Skattestyrelsens opfattelse, at den planlagte ophørsspaltning af G1 under disse forudsætninger opfylder betingelserne for at kunne gennemføres som en skattefri spaltning uden tilladelse i henhold til fusionsskattelovens § 15a, stk. 1, 4. pkt.

Indstilling

Skattestyrelsen indstiller, at spørgsmål 1 besvares med "Ja".

Spørgsmål 2

Det ønskes bekræftet, at B umiddelbart efter spaltningen af G1 kan overdrage nom. 11.250 B-anparter i G12 til sit stedbarn barn1 efter reglerne om skattemæssig succession i aktieavancebeskatningslovens § 34.

Begrundelse

Det fremgår af aktieavancebeskatningslovens § 34, stk. 1, nr. 1, at det er en betingelse for at kunne overdrage med succession efter § 34, at overdragelsen sker til børn m.v. Stedbarns- og adoptivforhold sidestilles med naturligt slægtsskabsforhold.

Da B er gift med A, der er far til barn1, er betingelsen opfyldt.

Det fremgår af aktieavancebeskatningslovens § 34, stk. 1, nr. 2, at det er en betingelse for at kunne overdrage med succession efter § 34, at den enkelte overdragelse af aktier udgør mindst 1 pct. af aktie- eller anpartskapitalen.

Da overdragelsen af nom. 11.250 B-anparter i G1 svarer til 22,5 % af den nominelle anpartskapital i selskabet, er betingelsen opfyldt.

Det fremgår af aktieavancebeskatningslovens § 34, stk. 1, nr. 3, at det er en betingelse for at kunne overdrage med succession efter § 34, at der er tale om aktier i et selskab m.v., hvis virksomhed ikke i overvejende grad består af passiv kapitalanbringelse.

Det fremgår af aktieavancebeskatningslovens § 34, stk. 6, 1. pkt., at et selskabs virksomhed anses for i overvejende grad at bestå i passiv kapitalanbringelse som nævnt i stk. 1, nr. 3, hvis mindst én af følgende betingelser er opfyldt:

Indtægtskriteriet:

Hvis mindst 50 pct. af selskabets indtægter, beregnet som et gennemsnit over de seneste tre regnskabsår, stammer fra passiv kapitalanbringelse. Indtægter er i denne sammenhæng defineret som den regnskabsmæssige nettoomsætning med tillæg af øvrige regnskabsmæssige indtægter.

Aktivkriteriet:

Hvis selskabet har eksisteret i mindre end tre år, sker bedømmelsen ud fra de år, som selskabet har eksisteret.

Da overdragelsen af nom. 11.250 B-anparter i G12 foretages umiddelbart efter, at selskabet G12 er stiftet ved en ophørsspaltning af selskabet G1, skal bedømmelsen kun ske ud fra stiftelsesåret.

Det fremgår af bilag 19 til lovforslag nr. 194 (2001/2002) om generationsskifte af selskaber, der forinden har deltaget i en omstrukturering, at:

"I det tilfælde, hvor et selskab er fusioneret med et andet selskab, ophører det indskydende selskab ved fusionen. Ved opgørelsen af, om aktier i eksempelvis det modtagende selskab kan overdrages med succession, indgår regnskabsår for det modtagende selskab forud for fusionen ved opgørelsen af gennemsnittet for de sidste 3 år for indtægter og aktiver. Der er derimod ikke hjemmel til at medregne regnskabsår og dermed indtægter og aktiver for det indskydende selskab.

Tilsvarende gælder ved tilførsel af aktiver og spaltninger. Drejer det sig om overdragelse af aktier i eksempelvis et modtagende selskab indgår dette selskabs egne regnskabsår, men ikke det indskydende selskabs indtægter og aktiver forud for omstruktureringen."

Da G1's indtægter og aktiver forud for spaltningen således ikke indgår ved opgørelsen af, om B-anparterne i G12 kan overdrages med succession, er Skattestyrelsen enig med rådgiver i, at det alene skal vurderes, om hSide 8 - svar på spørgsmål 27 til FSR vedrørende lovforslag nr. L 183 (2016/17).andelsværdien af G12's ejendomme, kontanter, værdipapirer el.lign. på anparternes overdragelsestidspunkt udgør mindre end 50 pct. af handelsværdien af selskabets samlede aktiver.

Ved opgørelsen medregnes den del af G12's datterselskabers aktiver, som svarer til ejerforholdet af den nominelle kapital.

Ved bedømmelsen ses der bort fra indkomst ved udlejning af fast ejendom mellem selskabet og et datterselskab eller mellem datterselskaber. Fast ejendom, der udlejes mellem selskabet og et datterselskab eller mellem datterselskaber, og som lejer anvender i driften, anses ved bedømmelsen ikke som en passiv kapitalanbringelse.

Skattestyrelsen har foretaget en vurdering baseret på de modtagne perioderegnskaber. Det er lagt til grund for vurderingen, at de enkelte aktivtyper er klassificeret korrekt i perioderegnskaberne. Skattestyrelsen har således ikke undersøgt, om f.eks. tilgodehavender klassificeret som "tilgodehavender fra salg" i perioderegnskabet rent faktisk stammer fra driften, eller om de har skiftet karakter til pengeudlån. Skattestyrelsen har dog konstateret, at størrelsen på posten "tilgodehavender fra salg" umiddelbart forekommer korrekt, når der sammenlignes med størrelsen på posten i årsregnskabet for 20xx og 20xx, der begge er underskrevet af revisor, samt industrinormen.

Skattestyrelsen er på dette grundlag enig i rådgivers fordeling af de enkelte aktiver som hhv. pengetanks- og erhvervsaktiver.

Koncerninterne tilgodehavender medregnes som pengetanksaktiver, hvilket er i overensstemmelse med SKM2012.728.SR.

Skattestyrelsen har modtaget perioderegnskaber med udgangspunkt i juni 20xx, hvilke har været anvendt til at undersøge, om de opgjorte værdier i pengetanksopgørelsen er korrekte. Skattestyrelsen har fundet, at de opgjorte værdier er i overensstemmelse med perioderegnskaberne.

Det væsentligste aktiv er goodwill i G9, som i pengetanksopgørelsen er opgjort til x-antal kr., hvoraf værdien af skatteyders ejerandel på 29,77% udgør x-antal kr. Værdien af goodwill er opgjort på basis af en egentlig transaktion med selskabets aktier.

G1 og G6 har oktober 20xx indgået en anpartsoverdragelsesaftale, hvor G1 overdrager 100% af aktierne i G9 til G6. Den endelige købesum til betaling på Closing blev x-antal kr.

I forbindelse med pengetanksopgørelsen har skatteyder opgjort goodwill i G9 til x-antal kr., hvoraf skatteyders andel udgør x-antal kr.. Værdien er udledt på basis af førnævnte transaktion, men Skattestyrelsen har ikke været i stand til at eftergøre den præcise beregning.

Skattestyrelsen har ikke modtaget perioderegnskabet pr. datoen for closing af transaktionen. Skattestyrelsen kan dog ikke afvise, at den opgjorte værdi er korrekt, når der tages hensyn til indre værdi pr. juni 20xx, udbyttet udbetalt frem til closing samt det forventede resultat for perioden. Derudover er goodwill på x-antal kr. i overensstemmelse med, hvad der fremgår af de tilsendte perioderegnskaber pr. juni 20xx.

Da goodwill er udregnet på basis af en egentlig transaktion, finder Skattestyrelsen begrænset grundlag for at afvise den af skatteyder opgjorte værdi.

Skattestyrelsen er enig i pengetanksopgørelsen udarbejdet af skatteyder. Erhvervsaktiverne udgør væsentligt mere end pengetanksaktiverne, hvorfor der ikke er tale om passiv virksomhed.

Skattestyrelsens vurdering er foretaget under antagelse af, at de modtagne periodebalancer afviger begrænset fra de endelige årsrapporter.

Det fremgår af aktieavancebeskatningslovens § 34, stk. 1, nr. 4, at det er en betingelse for at kunne overdrage med succession efter § 34, at aktierne ikke er omfattet af aktieavancebeskatningslovens § 19.

Rådgiver oplyser, at det ved besvarelsen kan lægges til grund, at G12 vil blive beskattet efter bestemmelsen i selskabsskattelovens § 1, stk. 1, nr. 1, og at anparterne i G12 ikke vil være omfattet af investeringsselskaber som nævnt i aktieavancebeskatningslovens § 19.

Skattestyrelsen lægger til grund, at der ved en skattepligtig overdragelse af A's og B's anparter vil være en skattepligtig gevinst således, at det er muligt at anvende aktieavancebeskatningslovens § 34 om skattemæssig succession.

Indstilling

Skattestyrelsen indstiller, at spørgsmål 2 besvares med "Ja".

Spørgsmål 3

Det ønskes bekræftet, at B umiddelbart efter spaltningen af G1 kan overdrage nom. 11.250 B-anparter i G12 til sit stedbarn barn2 efter reglerne om skattemæssig succession i aktieavancebeskatningslovens § 34.

Begrundelse

Se begrundelsen til svaret på spørgsmål 2.

Indstilling

Skattestyrelsen indstiller, at spørgsmål 3 besvares med "Ja".

Skatterådets afgørelse og begrundelse

Skatterådet tiltræder Skattestyrelsens indstilling og begrundelse.

Lovgrundlag, forarbejder og praksis

Spørgsmål 1

Lovgrundlag

Fusionsskatteloven § 5

Stk. 1. Datoen for den i forbindelse med fusionen udarbejdede åbningsstatus for det modtagende selskab anses i skattemæssig henseende for fusionsdato. Det er en betingelse for anvendelsen af reglerne i denne lov, at fusionsdatoen er sammenfaldende med skæringsdatoen for det modtagende selskabs regnskabsår. 8

Stk. 2. Hvor det modtagende selskab allerede er registreret og selskabet ikke har drevet erhvervsmæssig virksomhed forud for fusionsdatoen og hele selskabets egenkapital fra stiftelsen har henstået som et ubehæftet kontant indestående i et pengeinstitut, kan første regnskabsperiode uanset stk. 1 løbe fra stiftelsen, når regnskabsperioden slutter 12 måneder efter fusionsdatoen og perioden ikke overstiger 18 måneder. Det kræves ikke, at de fusionerende selskaber har samme skattemæssige fusionsdato. 9

Stk. 3. Skal indkomsten i et selskab, som deltager i fusionen, opgøres efter reglerne i selskabsskattelovens § 31, stk. 5, som følge af at koncernforbindelsen, jf. selskabsskattelovens § 31 C, er ophørt eller etableret inden eller i forbindelse med fusionen, anvendes tidspunktet for ophøret henholdsvis etableringen af koncernforbindelsen uanset stk. 1 og 2 som skattemæssig fusionsdato for selskabet. Det kræves ikke, at de fusionerende selskaber har samme skattemæssige fusionsdato.10

Stk. 4. 11 Fusionerer et her i landet hjemmehørende selskab med et i udlandet hjemmehørende selskab som modtagende selskab, kan som skattemæssig fusionsdato tidligst anvendes den dag, hvor fusionen er vedtaget i alle de fusionerende selskaber.12 Det kræves ikke, at de fusionerende selskaber har samme skattemæssige fusionsdato.13 1. og 2. pkt. finder ikke anvendelse, hvis det modtagende selskab både før og efter fusionens vedtagelse indgår i en international sambeskatning efter selskabsskattelovens § 31 A og denne internationale sambeskatning frem til fusionens vedtagelse omfatter det her i landet hjemmehørende selskab.14

Fusionsskatteloven § 15 a

Ved spaltning af et selskab har selskaberne adgang til beskatning efter reglerne i § 15 b, stk. 1 og 2, når såvel det indskydende selskab som det modtagende selskab er omfattet af begrebet selskab i en medlemsstat i artikel 3 i direktiv 2009/133/EF og ikke ved beskatningen her i landet anses for en transparent enhed. Det er en betingelse for anvendelsen, at der er opnået tilladelse hertil fra told- og skatteforvaltningen. Told- og skatteforvaltningen kan fastsætte særlige vilkår for tilladelsen og kan foreskrive, at der specifikt udarbejdes dokumenter, der skal indsendes inden for de frister, der er nævnt i § 6, stk. 3, eller § 6, stk. 4. Ved spaltning af et selskab har selskaberne som nævnt i 1. pkt. adgang til beskatning efter reglerne i § 15 b, stk. 1 og 2, uden at der er opnået tilladelse hertil fra told- og skatteforvaltningen, jf. dog 5.-11. pkt. Anvendelsen af 4. pkt. er betinget af, at selskaber, der efter spaltningen ejer mindst 10 pct. af kapitalen eller aktier, der er omfattet af definitionen af skattefri porteføljeaktier i aktieavancebeskatningslovens § 4 C, i et af de deltagende selskaber, ikke afstår aktier i det eller de pågældende selskaber i en periode på 3 år efter vedtagelsen af spaltningen. Uanset 5. pkt. kan aktierne i et deltagende selskab i den nævnte periode afstås i forbindelse med en skattefri omstrukturering af den nævnte selskabsdeltager eller det pågældende deltagende selskab, hvis der ved omstruktureringen ikke sker vederlæggelse med andet end aktier. I sådanne tilfælde finder den i 5. pkt. nævnte betingelse i sin restløbetid anvendelse på selskabsdeltageren henholdsvis det eller de deltagende selskaber i den efterfølgende skattefrie omstrukturering. 4. pkt. finder ikke anvendelse, hvis det indskydende selskab har mere end én selskabsdeltager og en eller flere af disse har været selskabsdeltagere i mindre end 3 år uden at have rådet over flertallet af stemmerne og samtidig er eller ved spaltningen bliver selskabsdeltagere i det modtagende selskab, hvor de tilsammen råder over flertallet af stemmerne. 4. pkt. finder heller ikke anvendelse på spaltning omfattet af stk. 3, hvis en selskabsdeltager, der beskattes af aktierne i det indskydende selskab efter aktieavancebeskatningslovens § 17, og som samtidig kan modtage skattefrit udbytte af disse aktier, vederlægges med andet end aktier i det eller de modtagende selskaber. 4. pkt. finder heller ikke anvendelse, hvis en person eller et selskab, der har bestemmende indflydelse i det indskydende selskab, jf. ligningslovens § 2, hverken er hjemmehørende i EU/EØS eller i en stat, som har en dobbeltbeskatningsoverenskomst med Danmark. 4. pkt. finder heller ikke anvendelse, hvis der i en periode på 3 år forud for vedtagelsen af spaltningen er overdraget aktier i det indskydende selskab uden skattemæssig succession til et eller flere selskaber, der er koncernforbundne med det overdragende eller overdragede selskab, jf. kursgevinstlovens § 4, stk. 2, og hvis aktierne omfattes af aktieavancebeskatningslovens §§ 4 a, 4 b eller 4 c.

Stk. 2. Ved spaltning forstås den transaktion, hvorved et selskab overfører en del af eller samtlige sine aktiver og passiver til et eller flere eksisterende eller nye selskaber ved i samme forhold som hidtil at tildele sine selskabsdeltagere aktier eller anparter og eventuelt en kontant udligningssum. Det er en betingelse for anvendelsen af stk. 1, 4. pkt., at værdien af de tildelte aktier eller anparter med tillæg af en eventuel kontant udligningssum svarer til handelsværdien af de overførte aktiver og passiver. Det er endvidere en betingelse for anvendelsen af stk. 1, 4. pkt., at forholdet mellem aktiver og forpligtelser, der overføres til det modtagende selskab, svarer til forholdet mellem aktiver og forpligtelser i det indskydende selskab. Det er endelig en betingelse for anvendelsen af stk. 1, 4. pkt., at der ikke tildeles kontantvederlag til selskaber, der ved spaltningen ejer mindst 10 pct. af kapitalen i det indskydende selskab, eller hvis aktier i det indskydende selskab er omfattet af definitionen af koncernselskabsaktier i aktieavancebeskatningslovens § 4 B eller definitionen af skattefri porteføljeaktier i aktieavancebeskatningslovens § 4 C.

Stk. 3. Ophører det indskydende selskab ikke ved en spaltning, skal de aktiver og passiver, der overføres til det modtagende selskab eller til hvert af de modtagende selskaber, udgøre en gren af en virksomhed, jf. § 15 c, stk. 2.

Stk. 4. Bestemmelserne i dette kapitel finder tilsvarende anvendelse:

1)Ved spaltning af de i henhold til selskabsskattelovens § 1, stk. 1, nr. 5 a, beskattede investeringsforeninger, dog under forudsætning af, at den eller de modtagende investeringsforeninger beskattes i henhold til selskabsskattelovens § 1, stk. 1, nr. 5 a.

2) Ved spaltning af de i ligningslovens § 16 C nævnte investeringsinstitutter med minimumsbeskatning, dog under forudsætning af, at det eller de modtagende investeringsinstitutter er et investeringsinstitut med minimumsbeskatning som nævnt i ligningslovens § 16 C.

3)Ved spaltning af de i selskabsskattelovens § 3, stk. 1, nr. 19, nævnte skattefri investeringsselskaber dog under forudsætning af, at det eller de modtagende selskaber omfattes af selskabsskattelovens § 3, stk. 1, nr. 19.

Stk. 5. Bestemmelserne i dette kapitel finder tilsvarende anvendelse ved spaltning af de i henhold til selskabsskattelovens § 1, stk. 1, nr. 2 e, beskattede elselskaber, dog under forudsætning af, at det eller de modtagende selskaber beskattes i henhold til selskabsskattelovens § 1, stk. 1, nr. 1, eller § 1, stk. 1, nr. 2 e.

Stk. 6. Bestemmelserne i dette kapitel finder tilsvarende anvendelse ved spaltning af vand- og spildevandsforsyningsselskaber omfattet af selskabsskattelovens § 1, stk. 1, nr. 2 h, hvis det eller de modtagende selskaber beskattes efter selskabsskattelovens § 1, stk. 1, nr. 1, eller § 1, stk. 1, nr. 2 h.

Stk. 7. Stk. 1 finder tilsvarende anvendelse, hvis det indskydende eller det modtagende selskab eller begge selskaber er hjemmehørende i EU/EØS, er registreret i en stat, der er medlem af EØS og ikke samtidig medlem af EU, er et selskab, som svarer til et dansk aktie- eller anpartsselskab, og den kompetente myndighed i den stat, hvor selskabet er hjemmehørende, skal udveksle oplysninger med de danske myndigheder efter en dobbeltbeskatningsoverenskomst, en anden international overenskomst eller konvention eller en administrativt indgået aftale om bistand i skattesager.

Stk. 8. Senest samtidig med indgivelsen af selvangivelsen for det indkomstår, hvor en spaltning efter reglerne i stk. 1, 4. pkt., er gennemført, skal det modtagende selskab give told- og skatteforvaltningen oplysning om, at selskabet har deltaget i en spaltning uden tilladelse fra told- og skatteforvaltningen. Hvis der afstås aktier i et af de deltagende selskaber som nævnt i stk. 1, 5. pkt., skal told- og skatteforvaltningen gives oplysning herom senest en måned efter afståelsen.

Artikel 3 i direktiv 2009/133/EF:

Artikel 3

Ved udtrykket »selskab i en medlemsstat« forstås i dette direktiv ethvert selskab:

a)

der antager en af de former, der er anført i bilag I, del A

b)

som ifølge skattelovgivningen i en medlemsstat anses for at være hjemmehørende i denne medlemsstat i skatteretlig forstand, og som i henhold til en overenskomst om dobbeltbeskatning med et tredjeland ikke anses for at være hjemmehørende uden for Fællesskabet og

c)

som uden valgmulighed og uden fritagelse er omfattet af en af skatterne på listen i bilag I, del B, eller enhver anden form for skat, der træder i stedet for en af de pågældende skatter.

Bilag 1, Del A:

e) selskaber, der i dansk ret benævnes »aktieselskab« og »anpartsselskab«, og andre selskaber, der er skattepligtige i henhold til selskabsskatteloven, forudsat at deres skattepligtige indkomst beregnes og beskattes i henhold til de almindelige skatteregler, der gælder for »aktieselskaber«

Forarbejder

Svar på spørgsmål 30 (L 202) til lov nr. 525 af 12. juni 2009:

"Betingelsen om forholdsmæssig overførsel af aktiver og forpligtelser videreføres ved siden af de foreslåede nye regler om skattefri spaltning uden tilladelse.

Det er således vurderet, at bestemmelsen - uagtet det foreslåede holdingkrav i fusionsskattelovens § 15 a, stk. 1, 5. pkt. - også fremover vil være nødvendig for at forhindre, at spaltningsreglerne anvendes med henblik på at omgå avancebeskatningen.

I tilfælde, hvor aktionæren eller aktionærerne i det indskydende selskab er fysiske personer, følger dette allerede af, at holdingkravet ikke finder anvendelse, idet kravet alene omfatter aktionærer, der er selskaber m.v."

Praksis

Den juridiske vejledning, C.D.7.2.1. Hovedregler vedrørende spaltning

Korrekt forhold mellem aktiver og forpligtelser (balancetilpasning)

Det er en betingelse, at forholdet mellem de aktiver og de forpligtelser, der ved spaltningen overdrages til det modtagende selskab, svarer til forholdet mellem aktiver og forpligtelser i det indskydende selskab. Se FUL § 15 a, stk. 2, 3. pkt.

Formål

Bestemmelsen skal forhindre, at man - som et alternativ til et skattepligtigt salg af aktiver - foretager en skattefri udspaltning af de pågældende aktiver til et modtagende selskab og samtidig overfører gæld i et forhold, der overstiger forholdet mellem aktiver og gæld i det indskydende selskab, og derved reducerer den skattepligtige avance ved en senere afståelse af aktierne i det modtagende selskab. Bestemmelsen forhindrer tilsvarende, at det indskydende selskab via en skattefri spaltning uden tilladelse bliver tømt for værdier ved, at selskabet bliver efterladt med en gæld, der overstiger det hidtidige forhold mellem aktiver og gæld, så en skattepligtig avance ved salg af aktierne er reduceret.

Bestemmelsen er - uagtet holdingkravet (se oven for i dette afsnit) - nødvendig for at forhindre, at spaltningsreglerne anvendes for at omgå avancebeskatningen.

I tilfælde, hvor aktionæren i det indskydende selskab er en fysisk person, følger dette allerede af, at holdingkravet ikke anvendes, idet kravet kun omfatter aktionærer, der er selskaber mv.

Betingelsen om forholdsmæssig overførsel af aktiver og forpligtelser er imidlertid også nødvendig i tilfælde, hvor holdingkravet anvendes, herunder hvor det indskydende selskab kun ejes af en aktionær, der er et selskab. I disse tilfælde supplerer de to krav hinanden.

Uden betingelsen om forholdsmæssig overførsel af aktiver og forpligtelser vil værdierne i et selskab ved en skattefri spaltning uden tilladelse kunne samles i enten det indskydende eller i det eller de modtagende selskaber. Det er ikke hensigtsmæssigt, at dette kan ske efter det objektive system og dermed uden anmodning om tilladelse fra Skattestyrelsen. Se bemærkninger til lov nr. 525 af 12. juni 2009 om Harmonisering af selskabers aktie- og udbyttebeskatning mv.

I SKATs kommentarer i SKM2007.917.SKAT opsummeres fællestræk i SKM2007.918.SR, SKM2007.919.SR, SKM2007.920.SR og SKM2007.921.SR - herunder i relation til FUL § 15 a, stk. 2, 2. pkt. om handelsværdi, samt FUL § 15 a, stk. 2, 3. pkt. om forholdet mellem aktiver og gæld. Det er Skatteministeriets opfattelse, at det overordnede formål med bestemmelserne om, at omstruktureringen ikke må anvendes til at fylde det indskydende eller modtagende selskab op med gæld og dermed undgå avancebeskatning, skal tillægges afgørende vægt, hvor

Det betyder, at det tillægges mindre betydning, hvordan man i spaltningsbalancen i sådanne konkrete sager har valgt at bogføre en eventuel kontant udligningssum og dermed fået brøken i FUL § 15 a, stk. 2, 3. pkt. til at gå op. Se eksempel.

Eksempel

Et selskab ønsker at udskille den ene af sine to driftsaktiviteter ved en skattefri grenspaltning. Hvis selskabet har aktiver for 100 og forpligtelser for 80, er det bl.a. en betingelse for at kunne gennemføre spaltningen skattefrit uden tilladelse, at de aktiver og forpligtelser, der overdrages til det modtagende selskab, også har forholdet 100:80 svarende til forholdet 5:4. Hvis de aktiver, der overdrages ved spaltningen, har en værdi af 40, vil det således være en betingelse, at der overføres forpligtelser for 32.

De overdragne aktiver og forpligtelser i eksemplet skal i øvrigt samtidig udgøre en gren af en virksomhed. Se FUL § 15 a, stk. 3. Hvis forholdet mellem aktiver og forpligtelser i den pågældende gren ikke svarer til forholdet mellem aktiver og forpligtelser i det indskydende selskab, kan det fx afhjælpes ved, at der sammen med de overførte aktiver og forpligtelser overføres ikke-grenrelaterede likvide midler.

SKM2015.299.SR.

Skatterådet bekræftede, at ophørsspaltningen af A A/S opfyldte betingelserne for at kunne gennemføres skattefrit efter de objektive regler, jf. fusionsskattelovens § 15a, stk. 1, 4. pkt.

SKM2014.157.SR

Skatterådet bekræftede, at forholdet mellem aktiver og forpligtelser, der overførtes til de modtagende selskaber i en skattefri spaltning, svarede til forholdet mellem aktiver og forpligtelser i det indskydende selskab, jf. fusionsskattelovens § 15 a, stk. 2, 3. pkt.

SKM2012.685.SR, SKM2007.921.SR og SKM2007.791.SR

Skatterådet tiltrådte i SKM2012.685.SR SKATs indstilling om, at:

"Skatterådet har i SKM2007.921.SR og SKM2007.791.SR tiltrådt, at "(...)Ejertid optjent ved succession kan således i den konkrete sag medregnes ved opgørelsen af, om aktionærerne i selskabet har været selskabsdeltagere i mere end tre år.(...)"."

SKM2010.65.SR

Skatterådet tiltrådte SKATs indstilling om, at:

"For så vidt angår holdingkrav i forbindelse med spaltninger, gælder det kun for "…selskaber, der efter spaltningen efter mindst 10 pct. af kapitalen i et af de modtagende selskaber…".

Modsætningsvist eksisterer der ikke et holdingkrav, når aktionærerne i de modtagende selskaber er fysiske personer. Dette fremgår ligeledes af svar på spørgsmål 30 til L202; "I tilfælde, hvor aktionæren eller aktionærerne i det indskydende selskab er fysiske personer, følger dette allerede af, at holdingkravet ikke finder anvendelse, idet kravet alene omfatter aktionærer, der er selskaber m.v.""

SKM2009.645.SR

Svar på spørgsmål 5: Skatterådet bekræfter, at det fusionerede A Drift kan ophørsspaltes skattefrit uden tilladelse, herunder at spaltningsdatoen er den endelige vedtagelse, værdien af de tildelte aktiver og passiver svarer til handelsværdien af de overførte aktiver og passiver, og at forholdet mellem aktiver og forpligtelser i de modtagende selskaber svarer til forholdet mellem disse i det indskydende selskab.

SKM2008.601.SR

Rådgiver har vedlagt udkast til fordeling mellem aktiver og gæld i H1 ApS og de modtagende selskaber, G2 ApS og G3 ApS. Fordelingen er baseret på de regnskabsmæssige værdier pr. 1. maj 2007, dog er de regnskabsmæssige værdier reguleret således, at genbeskatningssaldoen fremgår under gæld til associeret virksomhed

Svar på spørgsmål 3: Herudover er det en betingelse, at forholdet mellem de aktiver og den gæld, der ved spaltningen overdrages til det modtagende selskab, skal svare til forholdet mellem aktiver og gæld i det indskydende selskab. Det fremgår af fusionsskatteloven § 15 a, stk. 2, 3. pkt.

SKAT lægger i den forbindelse vægt på, at det indskydende selskab har gæld/aktivbeholdning i forholdet 14,18 % ligesom gælden i forhold til aktivbeholdningen, der overdrages til de modtagende selskaber også har forholdet 14,18 %.

SKM2007.699.SR

Skatterådet bekræftede, at en skattefri ophørsspaltning af A ApS, der ejes ligeligt af 4 anpartshavere, til 4 nystiftede modtagende selskaber - hvor hvert selskab modtager en ideel andel på ¼ af samtlige aktiver og gældsforpligtelser i det indskydende selskab - opfylder betingelsen i fusionsskattelovens § 15 a, stk. 2, 2. pkt., såfremt ophørsspaltningen regnskabsmæssigt foretages på basis af de regnskabsmæssigt bogførte værdier pr. 31. december 2006 og hver anpartshaver bliver 100 % anpartshaver i et af de modtagende selskaber.

Spørgsmål 2 og 3

Lovgrundlag

Aktieavancebeskatningsloven § 34

Ved overdragelse i levende live af aktier kan parterne i overdragelsen anvende reglerne i stk. 2-4, hvis følgende betingelser er opfyldt, jf. dog stk. 5:

1) Overdragelsen sker til børn, børnebørn, søskende, søskendes børn, søskendes børnebørn eller en samlever, hvorved forstås en person, som på overdragelsestidspunktet opfylder betingelserne i boafgiftslovens § 22, stk. 1, litra d. Stedbarns- og adoptivforhold sidestilles med naturligt slægtskabsforhold.

2) Den enkelte overdragelse af aktier udgør mindst 1 pct. af aktie- eller anpartskapitalen.

3) Der er tale om aktier i et selskab m.v., hvis virksomhed ikke i overvejende grad består af passiv kapitalanbringelse, jf. stk. 6. Bortforpagtning af fast ejendom, som efter ejendomsvurderingsloven anses for landbrugs- eller skovejendom, anses i denne forbindelse ikke som passiv kapitalanbringelse.

4)Aktierne er ikke omfattet af § 19.

Stk. 2. Gevinst ved overdragelsen beskattes ikke hos overdrageren. Erhververen indtræder i overdragerens skattemæssige stilling ved overdragelsen. Det gælder, uanset hvornår erhververen afstår aktierne. Ved opgørelsen af erhververens gevinst eller tab ved afståelse af aktierne behandles aktierne som anskaffet for den anskaffelsessum og på det tidspunkt, som de blev anskaffet til af overdrageren.

Stk. 3. Hvis erhververen på grund af sit hjemsted ikke er skattepligtig her til landet efter kildeskattelovens § 1, gælder stk. 2 kun, i det omfang aktierne efter overdragelsen indgår i en virksomhed, som er skattepligtig for erhververen efter kildeskattelovens § 2, stk. 1, nr. 4. Hvis erhververen er skattepligtig her til landet efter kildeskattelovens § 1, men i henhold til bestemmelserne i en dobbeltbeskatningsoverenskomst med en fremmed stat, Færøerne eller Grønland må anses for hjemmehørende dér, gælder stk. 2 kun, i det omfang aktierne efter overdragelsen indgår i en virksomhed, som Danmark i henhold til dobbeltbeskatningsaftalen har beskatningsretten til.

Stk. 4. Kildeskattelovens § 33 C, stk. 3, 4, 7, 8 og 13, finder tilsvarende anvendelse på aktier.

Stk. 5. Betingelserne i stk. 1, nr. 2 og 3, finder ikke anvendelse ved overdragelse af aktier som nævnt i § 17 eller § 18, stk. 1 eller 4. Betingelsen i stk. 1, nr. 3, finder ikke anvendelse ved overdragelse af aktier i et selskab m.v., som udøver næring ved køb og salg af værdipapirer eller ved finansieringsvirksomhed og er omfattet af lov om finansiel virksomhed eller tilsvarende for udenlandske selskaber.For udenlandske selskaber, som ikke er hjemmehørende i et EU-land eller EØS-land, er det en betingelse, at selskabet er hjemmehørende i et land, som efter en dobbeltbeskatningsoverenskomst, anden international overenskomst eller konvention eller administrativt indgået aftale om bistand i skattesager udveksler oplysninger med de danske skattemyndigheder.

Stk. 6. Selskabets virksomhed anses for i overvejende grad at bestå i passiv kapitalanbringelse som nævnt i stk. 1, nr. 3, såfremt mindst 50 pct. af selskabets indtægter, hvorved forstås den regnskabsmæssige nettoomsætning tillagt summen af øvrige regnskabsførte indtægter, opgjort som gennemsnittet af de seneste 3 regnskabsår stammer fra fast ejendom, kontanter, værdipapirer el.lign., der efter stk. 1, nr. 3, skal anses for passiv kapitalanbringelse, eller hvis handelsværdien af selskabets sådanne ejendomme, kontanter, værdipapirer el.lign. enten på overdragelsestidspunktet eller opgjort som gennemsnittet af de seneste 3 regnskabsår udgør mindst 50 pct. af handelsværdien af selskabets samlede aktiver. Besiddelse af andele omfattet af § 18 anses ved bedømmelsen ikke som besiddelse af værdipapirer. Afkastet og værdien af aktier i datterselskaber, hvori selskabet direkte eller indirekte ejer mindst 25 pct. af aktiekapitalen m.v., medregnes ikke. I stedet medregnes den del af datterselskabets indtægter og aktiver, som svarer til ejerforholdet. Ved bedømmelsen ses der bort fra indkomst ved udlejning af fast ejendom mellem selskabet og et datterselskab eller mellem datterselskaber. Fast ejendom, der udlejes mellem selskabet og et datterselskab eller mellem datterselskaber, og som lejer anvender i driften, anses ved bedømmelsen ikke som en passiv kapitalanbringelse.

Forarbejder

L 194 2001/2002, bilag 19, spørgsmål 15, Ad f):

"Det bemærkes, at det ikke gør nogen forskel ved besvarelsen, om den pågældende transaktion er skattefri efter reglerne i fusionsskatteloven eller den pågældende transaktion er skattepligtig.

Efter reglerne i aktieavancebeskatningslovens § 11, stk. 9, tages for så vidt angår selskabets indtægter gennemsnittet af de seneste 3 regnskabsår i selskabet. For så vidt angår selskabets aktivmasse skal den udregnes som gennemsnittet af de seneste 3 års regnskaber for selskabet og opgøres på overdragelsestidspunktet.

I det tilfælde, hvor det pågældende selskab er nystiftet, og det på overdragelsestidspunktet endnu ikke har eksisteret i 3 fulde regnskabsår, indgår derfor alene de regnskabsår, som selskabet har. Der er derimod ikke hjemmel til at medregne regnskabsår for andre selskaber. Kun selskabets egne regnskabsår kan indgå i opgørelsen således, at indtægter og aktiver i andre selskaber ikke indgår.

Efter fusionsskattelovens regler i § 8 gælder fsva. fusion, at aktiver og passiver, der er i behold hos det indskydende selskab ved fusionen, behandles ved opgørelsen af det modtagende selskabs skattepligtige indkomst, som om de var anskaffet af dette på det tidspunkt, hvor de er erhvervet af det indskydende selskab, og for de anskaffelsessummer, hvortil de er erhvervet af dette selskab. Det samme princip gælder ved en skattefri spaltning og tilførsel af aktiver efter fusionsskatteloven. Denne regel fastsætter således alene, hvorledes opgørelsen af den skattepligtige indkomst skal ske hos det indskydende selskab ved en af de nævnte skattefrie transaktioner.

I det tilfælde, hvor et selskab er fusioneret med et andet selskab, ophører det indskydende selskab ved fusionen. Ved opgørelsen af, om aktier i eksempelvis det modtagende selskab kan overdrages med succession, indgår regnskabsår for det modtagende selskab forud for fusionen ved opgørelsen af gennemsnittet for de sidste 3 år for indtægter og aktiver. Der er derimod ikke hjemmel til at medregne regnskabsår og dermed indtægter o g aktiver for det indskydende selskab.

Tilsvarende gælder ved tilførsel af aktiver og spaltninger. Drejer det sig om overdragelse af aktier i eksempelvis et modtagende selskab indgår dette selskabs egne regnskabsår, men ikke det indskydende selskabs indtægter og aktiver forud for omstruktureringen."

Praksis

Den juridiske vejledning, afsnit C.B.2.13.1 Familieoverdragelse med succession

"Værdiansættelse i forbindelse med aktivkriteriet

For at skabe et retvisende billede af selskabets aktiver, skal handelsværdierne anvendes ved bedømmelsen efter aktivkriteriet.

Ved bedømmelsen kan der for visse aktiver tages udgangspunkt i SKATs hjælperegler, hvis der ikke foreligger et bedre grundlag til fastlæggelse af handelsværdien.

Eksempler på værdiansættelse i praksis. Se SKM2006.627.SR og SKM2007.106.SR.

I selskabets samlede aktiver skal også indgå eventuel oparbejdet (ikke bogført) goodwill. Se SKM2007.625.LSR. I det omfang goodwill vedrører selskabets drift, anses goodwill som en del af selskabets aktive virksomhed."

SKM 2012.728.SR

Spørger påtænker at overdrage det øverste moderselskab i koncernen til sine børn med succession efter aktieavancebeskatningsloven § 34. Der er tale om en koncern med en ejendomsgren og en driftsgren. Der spørges til hvordan konkrete aktiver skal medregnes ved opgørelse af, om selskabet er en pengetank (passiv virksomhed) efter aktieavancebeskatningslovens § 34, stk. 6.

Skatterådet kan ikke bekræfte, at ved opgørelsen af aktiver kan der ske eliminering af koncerninterne fordringer. Skatterådet kan bekræfte, at spørger kan undlade at indregne værdien af ubebyggede grunde, som ikke udlejes på tidspunktet for overdragelsen med succession. Og Skatterådet kan bekræfte, at spørger kan undlade at indregne værdien af igangværende ejendomsprojekter, såfremt der på overdragelsestidspunket ikke er indgået en kontrakt om udlejning.

SKM2007.625.LSR

En læge ansås for berettiget til fradrag for ophørspension efter pensionsbeskatningslovens § 15 A, i forbindelse med afhændelse af en udlejningsvirksomhed, idet værdien af ikke bogført goodwill i lægevirksomheden kunne medregnes ved vurderingen af, om værdien af den afhændede virksomhed udgjorde mindre end 50 % af de samlede aktiver.

SKM2006.627.SR

Skatterådet tiltrådte, at den pågældende, efter forinden at have indhentet tilladelse til skattefri spaltning af holdingselskabet, B Holding A/S, gennemfører generationsskifte ved at overdrage aktierne i fire af de seks udspaltede selskaber til hver af sine fire sønner. Overdragelsen sker ved succession. Idet handelsværdien af f.eks selskabets kontanter, værdipapirer eller lignende opgjort som gns. af de sidste tre regnskabsår udgør under 50 % af selskabets samlede aktiver, samt at selskabets finansielle indtægter tilsvarende ikke overstiger 50 % af de samlede indtægter, og de udspaltede selskabers finansielle aktiver overstiger ikke 50 % af de samlede aktiver er overdragelsen omfattet af ABL § 34, der udskyder beskatningen vedr. den omhandlede overdragelse.

Skatterådet tiltræder Skat, Hovedcentrets indstilling med bemærkning om, at Skatterådet finder det uden betydning, om koncernen kunne anses som en "finansiel" virksomhed før spaltningen.