| Dokumentets dato: | 15-07-2021 |
| Offentliggjort: | 04-10-2021 |
| SKM-nr: | SKM2021.509.BR |
| Journalnr.: | BS-10572/2017 |
| Referencer.: | Ligningsloven |
| Dokumenttype: | Dom |
Sagen angik, om 21 udbetalinger fra sagsøgerens selskab skulle beskattes som maskeret udbytte hos sagsøgeren, jf. ligningslovens § 16 A, stk. 1.
Retten fandt det ikke godtgjort, at de omhandlede udbetalinger var medgået til dækning af selskabets udgifter eller anvendt i selskabets interesse. Retten tiltrådte på den baggrund, at udbetalingerne måtte anses for reelt at være afholdt til varetagelsen af sagsøgerens personlige interesser som direktør og hovedanpartshaver i selskabet.
Skatteministeriet blev derfor frifundet.
Parter
A
(v/advokat Elisabeth Aagaard Lund)
mod
Skatteministeriet
(v/advokat Anne Bräuner Vestergren)
Afgørelsen er truffet af byretsdommer
Cecilie Boel Winther
Sagens baggrund og parternes påstande
Denne sag vedrører 21 udbetalinger foretaget af G1 ApS i 2010 og 2011, på et tidspunkt hvor A var direktør og hovedanpartshaver i G1 ApS. Spørgsmålet i sagen er, om udbetalingerne fra G1 ApS' konti kan beskattes som maskeret udbytte hos A, jf. ligningslovens § 16 A, stk. 1.
Sagen er anlagt den 11. juli 2017.
Sagsøgeren, A, har nedlagt påstand om følgende:
"Sagsøgte tilpligtes at nedsætte den af SKAT (det nuværende Skattestyrelsen) foretagne forhøjelse af sagsøgerens skattepligtige indkomst med kr. 583.959,00 kr. eller et lavere beløb for indkomståret 2010 og med kr. 2.377.359,00 eller et lavere beløb for indkomståret 2011."
Sagsøgte, Skatteministeriet, har nedlagt påstand om frifindelse.
Dommen indeholder ikke en fuldstændig sagsfremstilling, jf. retsplejelovens § 218 a.
Oplysningerne i sagen
Landsskatteretten har den 12. april 2017 truffet afgørelse om, at G1 ApS i indkomståret 2011 ikke kunne få fradrag for udgifterne på i alt 2.748.461 kr., som selskabet havde fratrukket som udgifter til fremmed arbejde vedrørende G2 ApS. Af Landsskatterettens afgørelse fremgår blandt andet følgende:
"…
Landsskatterettens afgørelse
Udgifter afholdt i årets løb for at erhverve og vedligeholde indkomsten er fradragsberettiget i henhold til statsskattelovens § 6, stk. 1, litra 1. Der skal foreligge en direkte og umiddelbar forbindelse mellem afholdelsen af udgiften og erhvervelsen af indkomsten. Det kræver dels, at udgiftsafholdelsen ligger inden for de naturlige rammer af selskabet, dels at udgiften ikke kan karakteriseres som en privatudgift, som er indkomstopgørelsen uvedkommende.
Enhver erhvervsdrivende, der fører regnskab, har, hvad enten den pågældende ifølge lovgivningen er regnskabspligtig eller ej, pligt til på begæring af told- og skatteforvaltningen til denne at indsende sit regnskabsmateriale med bilag for såvel tidligere som for det løbende regnskabsår og andre dokumenter, der kan have betydning for skatteligningen, herunder for afgørelsen af skattepligt her til landet. Indsendelsespligten omfatter også regnskabsmateriale mv. vedrørende den skattepligtiges virksomhed i udlandet, på Y1-land og Y2-land. Det fremgår af skattekontrollovens § 6, stk. 1.
I henhold til bogføringslovens § 9, skal enhver udgift være dokumenteret ved bilag, hvoraf der fremgår oplysninger om henholdsvis sælger og købers navn og adresse samt varens eller ydelsens art, mængde og pris.
Selskabet har fremlagt fakturaer fra G2 ApS for beløbet på 2.107.461 kr., som selskabet har fratrukket som udgifter til fremmed arbejde vedrørende G2 ApS.
Selskabet har ikke dokumenteret eller tilstrækkelig sandsynliggjort, at G2 ApS har udført arbejde svarende til de udstedte fakturaer eller de beløb, der er fratrukket som fremmed arbejde.
Der er ved afgørelsen lagt vægt på, at der for en del af beløbet ikke er udstedt fakturaer. Der er desuden lagt vægt på, at det af selskabets kontoudtog og oplysninger fra selskabets banker fremgår, at pengene er overført til forskellige vekselbureauer og selskabets revisor, og at der har været bankoverførsler samt kontante hævning, hvor modtageren af pengene ikke er oplyst. Pengestrømmene fra selskabet til G2 ApS kan således ikke følges, idet dels at modtagerne af pengene ikke stemmer overens med, hvad der fremgår af fakturaer og selskabets oplysninger, dels at det ikke er dokumenteret, hvem modtageren af pengene er. Det anses derfor ikke for dokumenteret, at pengene er anvendt til betaling for udført arbejde fra G2 ApS's side.
Den fremlagte erklæring fra den tidligere direktør i G2 ApS, hvori det erklæres, at arbejdet er udført, findes ikke at kunne ændre på dette resultat. Der er lagt vægt på, at erklæringen er en ensidigt indhentet erklæring, som er udarbejdet til brug for nærværende sag.
…"
G1 ApS er efterfølgende kommet under konkursbehandling, og konkursboet er ikke indtrådt i sagen vedrørende Landsskatterettens afgørelse om at nægte G1 ApS fradragsret, der således er endelig.
Landsskatteretten har endvidere den 12. april 2017 truffet afgørelse om forhøjelse af As indkomst for indkomstårene 2010 og 2011 med henholdsvis 583.959 kr. og 2.377.359 kr. Af Landsskatterettens afgørelse fremgår:
"…
Klagepunkt | SKATs afgørelse | Klagerens opfattelse | Landsskatterettens afgørelse |
Forhøjelse af indkomst for indkomståret 2010 | 583.959 kr. | 0 kr. | 583.959 kr. |
Forhøjelse af indkomst for indkomståret 2011 | 2.377.359 kr. | 0 kr. | 2.377.359 kr. |
Møde mv.
Der har været afholdt møde mellem klageren, hans repræsentant og Skatteankestyrelsens sagsbehandler, ligesom klagerens repræsentant har udtalt sig ved et retsmøde med Landsskatteretten.
Faktiske oplysninger
Den 1. august 2006 opstartede klagerens far enkeltmandsvirksomheden G3, cvr-nr. ...11, med hovedbranche "andre post- og kurertjenester". Virksomheden beskæftigede sig med bl.a. pakkekørsel for G6 ApS og levering af blade mv. for G4 A/S og anvendte i den forbindelse en række underleverandører.
I forbindelse med opstarten af G3 begyndte klageren at arbejde i virksomheden, hvor han bl.a. stod for kørsel mv.
Den 27. august 2010 stiftede klagerens far desuden selskabet G1 ApS. cvr-nr. ...12, med hovedbranche "andre post- og kurertjenester" samt bibranche "caféer, værtshuse, diskoteker mv.". Aktiviteterne fra virksomheden G3 blev videreført i dette selskab.
Selskabets aktivitet bestod udover vognmandsvirksomhed desuden i driften af en cafévirksomhed under binavnet G5 A/S.
Driften af vognmandsvirksomheden i selskabet blev varetaget under binavnet G12 ApS.
Samme dag den 27. august 2010 indtrådte klageren som direktør i selskabet, og han købte kort tid efter anparterne i selskabet og overtog herefter aktiviteterne i selskabet fra faderen.
Klageren drev således i indkomstårene 2010 og 2011 selskabet G1 ApS, cvr-nr. ...12, som direktør og hovedanpartshaver.
Klageren var ansat som almindelig lønmodtager i selskabet, og han var ansvarlig for den overordnede daglige ledelse i selskabet, hvor han bl.a. varetog betaling af lønninger til selskabets medarbejdere.
I indkomstårene 2010 og 2011 havde selskabet indtægter fra G4 A/S og G6 ApS samt omsætning fra G5 A/S.
Selskabets første regnskabsår udgjorde perioden 27. august 2010-31. december 2011. Det fremgår af selskabets årsregnskab for den pågældende periode, at selskabet havde en omsætning pa 6.738.653 kr., og et resultat for renter på 496.678 kr.
Af årsregnskabet fremgår det desuden, at selskabets udgifter til lønninger til ansatte udgjorde 1.126.227 kr.
SKAT har opgjort lønninger til ansatte i samme periode til at udgøre 1.110.662 kr.
Det fremgår af sumoplysningerne registreret hos SKAT, at selskabet i indkomstårene 2009-2011 havde henholdsvis 6, 7 og 15 medarbejdere ansat.
Klagerens far havde benyttet sig af underleverandører i den personligt drevne virksomhed, G3, som følge af at virksomheden voksede, og det var vanskeligt at ansætte tilstrækkeligt kvalificeret personale til at udføre virksomhedens arbejdsopgaver.
Da virksomheden blev videreført af G1 ApS, fortsatte selskabet med at anvende underleverandører til udførelse af det fortsatte arbejde for bl.a. G4 A/S og G6 ApS.
Af årsregnskabet for indkomstårene 2010-2011 fremgår det, at selskabet har fratrukket udgifter til fremmed arbejde med samlet 3.195.789 kr.
Ifølge selskabets bilag er der primært fratrukket udgifter til fremmed arbejde til selskabet G2 ApS med et beløb på 2.748.461 kr.
SKAT har konstateret, at der på nogle at overførslerne fra selskabet fremgår til hvilken konto, der er overført, mens det ikke er oplyst for andre overførsler, og for disse har SKAT indkaldt yderligere oplysninger i banken.
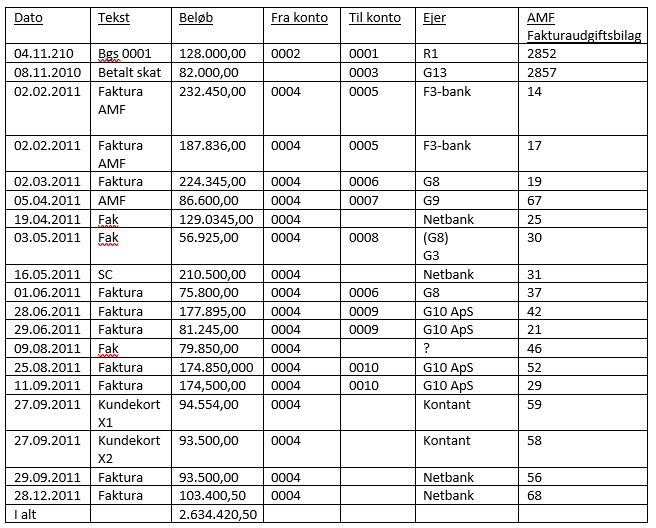
SKAT har beregnet, at der er sket overførsler fra selskabets konti i F1-bank og F2-bank på i alt 2.634.420,50 kr., som er opgjort ud fra følgende:
Det samlede beløb eksklusiv moms udgør 2.107.536 kr.
Herudover har SKAT opgjort, at selskabet har udbetalt et beløb på i alt 640.925 kr. ekskl. moms. Af dette beløb er der fratrukket udgifter til fremmed arbejde på i alt 326.461 kr.
Af kontooversigterne fra F1-bank og F2-bank har SKAT konstateret, at der ikke har været overført penge til G2 ApS' konto, men at overførslerne er sket til G7, G8, G9, G10 ApS, samt at der er sket kontante hævninger og overførsler via netbank.
SKAT har i deres afgørelse for G1 ApS af den 17. maj 2013 ikke godkendt fradrag for udgifter til fremmed arbejde i indkomståret 2011 på 2.107,536 kr. og 640.925 1cr., i alt 2.748.641 kr.
SKAT har således anset G1 ApS' bogførte udgifter til fremmed arbejde foretaget af G2 ApS for at være uden reelt indhold, og har derfor ikke godkendt fradrag herfor efter statsskattelovens § 6, litra a.
SKATS afgørelse
SKAT har forhøjet klagerens aktieindkomst for indkomsterne 2010 og 2011 med henholdsvis 583.959 kr. og 2.377.359 kr.
Beløbsmæssigt er der tale om pengestrømme fra selskabets konto, svarende til beløbene i skemaet ovenfor på samlet 2.634.420,50 kr. og bilag 768, 781 og 933, der samlet udgør 326.898 kr. inkl. moms, hvilket i alt udgør 2.961.318 kr.
SKAT har som begrundelse for sin afgørelse anført følgende:
"Udgifter fratrukket som fremmed arbejde vedr. G2 ApS anses for at være maskeret udlodning til anpartshaver A. Der er henset til følgende:
• Det er ikke dokumenteret at der er udført arbejde i henhold til fakturaerne i bilagsmaterialet.
• Det er ikke dokumenteret af G2 ApS har fået betaling for arbejdet, da der ikke er overført penge til selskabets bankkonto.
• Pengestrømmen fra selskabets konto viser, at der er tale om kon-tante hævninger, hævning på posthus, netbank overførsler, overførsler til revisor, vekselbureauer, samt øvrige konti med ukendt ejer.
• Der er udbetalt lønninger for perioden med i alt 1.110.662 kr.
For 2010 er beløbet vedr. maskeret udlodning opgjort til 583.959 kr. For 2011 er beløbet vedr. maskeret udlodning opgjort til 2.377.359 kr.
I alt anses 2.961.318 kr. for at være maskeret udlodning fra G1 ApS til A, jf. ligningslovens 16 A, stk. 2, nr. 1."
SKAT er i forbindelse med klagesagens behandling fremkommet med følgende supplerende bemærkninger:
"SKAT er enig i Skatteankestyrelsens forslag til sagens afgørelse.
Som anført i Skatteankestyrelsens forslag til sagens afgørelse, så har Skatteankestyrelsen i sit forslag til sagens afgørelse for klagers selskab G1 ApS foreslået, at stadfæste SKATs afgørelse, hvormed selskabet ikke kan få fradrag for udgifter til fremmed arbejde. Klagers selskab har ikke dokumenteret eller tilstrækkelig sandsynliggjort, at beløbene er overført til G2 ApS som betaling for udført arbejde for klagers selskab.
Af SKATs Den juridiske vejledning afsnit. C.B.3.5.21 under overskriften "Regel" fremgår følgende; "Hvis en udgift i et selskab ikke kan anses for en driftsomkostning, men i stedet synes afholdt i aktionærens interesse, så er der grundlag for at statuere maskeret udbytte. Se LL § 16 A, stk. 1."
SKAT er enig i Skatteankestyrelsens bemærkning om, at der må lægges afgørende vægt på, at pengestrømmene fra G1 ApS til G2 ApS ikke kan følges, og at overførslerne er sket til andre end G2 ApS, der er udstedet af fakturaerne. Modtageren af pengene stemmer således ikke overens med fakturaerne. Udgiften er dermed ikke begrundet i selskabets erhvervsmæssige aktivitet, men må anses for at være overført til klageren personligt som hovedanpartshaver G1 ApS.
SKAT er således også enig i Skatteankestyrelsens bemærkning om, at klageren som hovedanpartshaver i G1 ApS har bestemmende indflydelse på selskabets dispositioner, og derfor må de udbetalte beløb på samlet 2.961.318 kr. fordelt på indkomstårene 2010 og 2011 med henholdsvis 583.959 kr. og 2.377.359 kr. anses for maskeret udbytte til klageren i medfør af ligningslovens 16 A, stk. 2, nr. 1,
De udokumenterede pengestrømme fra klagers selskab til G2 ApS må derfor anses for afholdt i klagers interesse i kraft af dennes dominerende indflydelse som hovedanpartshaver.
Klagerens opfattelse
Klageren har nedlagt påstand om, at skatteansættelsen for indkomstårene 2010 og 2011 nedsættes med henholdsvis 583.959 kr. og 2.377.359 kr.
Klageren har til støtte for sin påstand anført følgende:
"Til støtte for den nedlagte påstand gøres det overordnet gældende, at der ikke er grundlag for at beskatte A af maskeret udbytte i medfør se ligningslovens § 16 A, stk. 1,
idet de omtvistede beløb i alle tilfælde er foretaget i selskabets interesse og ikke i As personlige interesse,
da overførslerne er anvendt af G1 ApS til afholdelse af udgifter til fremmed arbejde, jf. statsskattelovens 6, stk. 1, litra a, og
da momslovgivningens regler vedrørende fradrag for købsmoms må anses for op- fyldte i relation til ovennævnte udgifter, og
idet de foretagne overførsler under ingen omstændigheder kan an-
ses for at have "passeret" As økonomi som følge af hans aktionærstatus i G1 ApS.
(….)
Til støtte for den nedlagte påstand gøres der i anden række gældende, at de foretagne overførsler under ingen omstændigheder kan anses for at have "passeret" As økonomi som følge af hans status som hovedanpartshaver i G1 ApS, hvorfor der ikke er grundlag for at beskatte
A af maskeret udlodning, jf. ligningslovens § 16 A, stk.
Følgende fremgår af SKATs afgørelse af den 17. maj 2013, jf. bilag 1;
"Udgifter fratrukket som fremmed arbejde vedr G2 ApS anses for at være maskeret udlodning til anpartshaver A. Der er henset til følgende:
• Det er ikke dokumenteret at der er udført arbejde i henhold til fakturaer-ne i bilagsmaterialet.
• Det er ikke dokumenteret at G2 ApS har fået betaling for ar-bejdet, da der ikke er overført penge til selskabets bankkonto.
• Pengestrømmen fra selskabets konto viser, at der er tale om kontante hævninger, hævning posthus, netbank overførsler, overførsler til revisor, vekselbureaner, samt øvrige konti med ukendt ejer.
• Der er udbetalt lønninger for perioden med i alt 1.110.662 kr.
For 2010 er beløbet vedr. maskeret udlodning opgjort til 583.959 kr.
For 2011 er beløbet vedr maskeret udlodning opgjort til 2.377.359 kr.
I alt anses 2.961.318 kr. for at vedr. maskeret udlodning fra G1 ApS til A, jf. ligningslovens § 16 A, stk. 2, nr. 1."
For så vidt angår SKATs afgørelse af den 17. maj 2013 gøres det gældende, at det faktum, at SKAT har nægtet G1 ApS fradrag for udgifterne til G2 ApS i medfør af statsskattelovens § 6, stk. 1, litra a, ikke automatisk medfører, at der er tale om skattepligtigt udbytte for A efter ligningslovens § 16 A, stk. 1.
SKATs begrundelse for at anse A for skattepligtig af maskeret udbytte forekommer alene at være begrundet i, at SKAT har nægtet G1 ApS fradrag for udgifter til fremmed arbejde, hvorefter beløbet efter SKATs opfattelse kun kan anses for udloddet til A som selskabets anpartshaver. SKAT forekommer her ved at sætte lighedstegn mellem den manglende fradragsret i G1 ApS og beskatningen af A som eneanpartshaver i selskabet.
En sådan slutning har ikke hjemmel i dansk skatteret, hvilket konkret understøttes af det anførte i Retten i Y3-by dom, jf. SKM20II.518.BR, hvoraf det med al tydelighed fremgår, at der skal foretages en konkret vurdering i hver enkelt sag, ligesom det forhold, at selskabet ikke kan opnå fradrag for en udgift, ikke er ensbetydende med, at der kan statueres maskeret udlodning over for hovedanpartshaveren.
Det er i denne forbindelse væsentligt at være opmærksom på, at det afgørende for kvalificeringen af en overførsel som maskeret udlodning er, at der er sket en økonomisk overførsel til en aktionær som følge af den pågældendes aktionærstatus. På trods af, at det ikke er en betingelse, at den økonomiske fordel tilfalder aktionæren direkte og personligt, skal overførslen under alle omstændigheder have "passeret aktionærens økonomi".
Med henvisning til ovenstående gennemgang vedrørende G1 ApS' adgang til at få fradrag for udgifter til fremmed arbejde samt fradrag for købsmoms, gøres det gældende, at der i nærværende sag er fremlagt tilstrækkelig og behørig dokumentation for, at der er tale om udgifter afholdt i selskabets interesse. Det må under alle omstændigheder anses for sandsynliggjort, at de afholdte udgifter blev foretaget i selskabets interesse og på foranledning af G2 ApS, hvorfor der ikke er grundlag for at beskatte A af maskeret udlodning i medfør af ligningslovens § 16 A, stk. 1.
Som anført ovenfor er det SKAT, der skal løfte bevisbyrden for, at der er tale om maskeret udlodning.
I nærværende sag har SKAT på ingen måde sandsynliggjort, at motiverne for de foretagne dispositioner - overførsler til en række konti og vekselbureauer på baggrund af udstedte faktura er fra G2 ApS - skulle vedrøre andet end udgifter til G2 ApS afholdt i selskabets interesse.
Det findes umiddelbart vanskeligt at anse de pågældende overførsler foretaget fra selskabets konti til en række forskellige kontonumre og vekselbureauer uden for As økonomiske råden for at være foranlediget med henblik på at begunstige A.
For det første må der være en stærk formodning for, at overførsler foretaget fra selskabets konto, som understøttes af diverse fakturaer og udgiftsbilag, reelt er foretaget i selskabets interesse.
For det andet må der i nærværende sag henses til, at selskabet har foretaget elektroniske overførsler til en række konti og vekselbureauer, som ikke har en nærmere relation til A. SKAT har på ingen måde i nærværende sag godtgjort - eller blot sandsynliggjort - at A havde rådighed over de konti og vekselbureauer, som der blev overført til.
På baggrund af det ovenfor anførte må det anses for tilstrækkeligt dokumenteret, at de omstridte beløb blev overført til en række konti og vekselbureauer, som A hverken havde råderet over eller anden personlig relation til. Det findes særdeles vanskeligt at anse de pågældende beløb for at have passeret As økonomi, idet der ikke er grundlag for at anse disse transaktioner for at være udført i A personlige, økonomiske interesse.
Det bemærkes hertil, at det er SKAT som offentlig myndighed, der har adgang til at undersøge ejerforholdene i relation til de konti og vekselbureauer, som G1 ApS overførte til.
Dette er ikke muligt for A, idet han ikke disponerer over disse. Såfremt SKAT har konkret mistanke om, at beløbene er overført på foranledning fra A og reelt er tilgået ham personligt, da må SKAT som minimum kunne dokumentere en nærmere relation mellem A og ovenstående konti/vekselbureauer, som modtog elektroniske overførsler fra G1 ApS.
Det gøres sammenfattende gældende, at SKAT i nærværende sag ikke har løftet bevisbyrden for, at de omstridte beløb er foretaget i As personlige og økonomiske interesse, idet SKAT på ingen måde findes at have dokumenteret - eller blot sandsynliggjort - at de overførte beløb er tilgået konti mv., som A har en personlig og økonomisk relation til.
I nærværende sag findes det derimod uden rimelig tvivl sandsynliggjort, at de pågældende udgifter blev afholdt til betaling af G2 ApS. Det gøres herefter sammenfattende gældende, at de omstridte betalinger blev afholdt i selskabets interesse, hvorfor der ikke er grundlag for at foretage maskeret udlodning hos A af betalingerne i medfør af ligningslovens 16A, stk. 1."
På mødet mellem klageren, hans repræsentant og Skatteankestyrelsens sagsbehandler, anførte repræsentanten, at hun undrede sig over, hvorfor SKAT havde anset pengene, som selskabet har fratrukket som udgifter til fremmed arbejde, for maskeret udbytte til klageren. Såfremt SKAT ikke mente, at der kunne ske fradrag for fremmed arbejde på grund af manglende dokumentation, kunne SKAT blot nægte fradrag. Hun havde ikke set lignende sager, hvor SKAT havde kvalificeret pengene som maskeret udbytte til hovedaktionæren personligt i medfør af ligningslovens 16 A, stk. 1.
Klagerens repræsentant har i et supplerende indlæg anført følgende:
"(….)
Af Skatteankestyrelsens forslag til afgørelse fremgår, at det er Skatteankestyrelsens opfattelse, at der er grundlag for at beskatte A af maskeret udlodning vedrørende de overførsler, der ifølge A er foretaget fra G1 ApS til G2 ApS.
Som begrundelse herfor har Skatteankestyrelsen henvist til, at pengestrømmene fra G1 ApS til G2 ApS ikke kan følges. På denne baggrund har Skatteankestyrelsen anset overførslerne for at være overført personligt til A.
Det bemærkes, at vi er afgørende uenige med Skatteankestyrelsen heri.
For det første er der i nærværende sag fremlagt i adskillige fakturaer fra G2 ApS, som udspecificerer, hvilket arbejde virksomheden har udført for G1 ApS.
For det andet er fremlagt kontoudskrifter for indkomstårene 2010 og 2011, hvoraf det fremgår, at der rent faktisk blev overført beløb fra selskabets konto, som tidsmæssigt og beløbsmæssigt svarer til de beløb, som fremgår af fakturaerne fra G2 ApS.
For det tredje er der fremlagt en underskrevet erklæring fra G2 ApS hvori indehaveren af G2 ApS har erklæret, at de omhandlede beløb ikke er tilgået A personligt.
Der er ligeledes for det fjerde fremlagt en underskrevet samarbejdskontrakt imellem G1 ApS og G2 ApS. Denne kontrakt er dateret den 10. oktober 2010, dvs. før skattesagens opståen, og er både underskrevet af A og indehaveren hos G2 ApS, KD.
Det kan således konstateres, at der i nærværende sag er fremlagt adskillige dokumenter, som med al tydelighed godtgør - og under alle omstændigheder sandsynliggør - at der bestod et reelt samarbejde imellem G1 ApS og G2 ApS, jf. også det anførte i afsnittet ovenfor.
Efter vores opfattelser understøtter de i sagen fremlagte dokumenter, at det ikke var A, der disponerede over de beløb, som blev overført fra selskabets konto.
Uanset om man måtte finde, at forholdene omkring betalingen til G2 ApS er usædvanlige, er dette ikke et tilstrækkeligt grundlag for at anse samarbejdet imellem G1 ApS og G2 ApS for at være uden realitet.
Såfremt den allerede fremlagte dokumentation for samarbejdet imellem de to virksomheder ikke anses for tilstrækkelig, findes det vanskeligt at se, hvorledes A på anden vis kan dokumentere realiteten af samarbejdet med G2 ApS særligt med tanke på, at samarbejdet imellem virksomhederne blev påbegyndt for over seks år siden.
Det er i nærværende sag væsentligt at være opmærksom på, at det forhold, at Skatteankestyrelsen ikke finder udgifterne til G2 ApS tilstrækkeligt godtgjorte/sandsynliggjorte, ikke er ensbetydende med, at der er grundlag for at beskatte A af de om handlede beløb som maskeret udlodning.
Hvorvidt der er grundlag for at gennemføre beskatning af en udlodning, beror på en vurdering af, om betingelserne i ligningslovens § l6a er opfyldt.
I medfør af ligningslovens 16a, stk. 1, skal alt, hvad der udloddes til en aktionær som følge af dennes aktionærstatus, skatteretligt behandles som udbytte. Bestemmelsen finder således anvendelse på overførsler til aktionæren, som "maskeres" med henblik på at opnå en gunstigere skattemæssig position.
Kerneeksemplet på maskeret udbytte/udlodning er kendetegnet ved, at der er tale om mere enkeltstående dispositioner, hvor der imellem selskabet og en eller flere af selskabets aktionærer sker overdragelse af aktiver, og hvor overdragelsen ikke sker til markedspriser, eksempelvis hvis selskabet overdrager en ejendom til hovedaktionæren til underpris.
Det skatteretlige udbyttebegreb omfatter samtlige økonomiske fordele, der tilgår aktionæren. Maskeret udbytte/udlodning foreligger således, i de situationer hvor aktionæren erhverver økonomiske fordele fra selskabet. I sådanne situationer vil der være en korrektionsadgang for SKAT i ligningslovens § 16a, stk. 1.
Foruden kravet om, at den pågældende skal være aktionær, er det ligeledes en forudsætning for beskatning, at den pågældende betaling/afholdelse af udgift mv. sker i aktionærens interesse.
Heri ligger en konkret afvejning af, om den pågældende disposition er foretaget i selskabets interesse eller i aktionærens interesse. Det er i den forbindelse væsentligt at bemærke, at bevisbyrden for, at der er tale om maskeret udlodning, påhviler SKAT.
I denne forbindelse henvises til Y4-bys Byrets dom offentliggjort i SKM2011.518.BR, som ligeledes er omtalt i det supplerende indlæg af den 11. september 2014.
I denne sag foretog retten en konkret vurdering af sagens omstændigheder og konkluderede på denne baggrund, at der ikke var grundlag for at gennemføre beskatning af maskeret udlodning.
Dette ud fra en betragtning om, at der ikke var grundlag for at antage, at selskabet havde gennemført de pågældende dispositioner af hensyn til aktionæren.
Dommen viser således, at uanset at et selskab ikke kan anses for at have handlet forretningsmæssigt - og af denne grund ikke kan opnå fradrag for de pågældende udgifter - er dette forhold ikke i sig selv ensbetydende med, at der kan statueres maskeret udlodning over for aktionæren, idet udgiften godt kan være afholdt i selskabets egen interesse, uanset at udgiften ikke opfylder kravene til at være en fradragsberettiget driftsomkostning.
Det er væsentligt at holde sig for øje, at en sådan udlodningsbeskatning kræver, at det er af hensyn til aktionærens personlige interesser, at selskabet har valgt at agere på en måde, der falder uden for almindelige forretningsmæssige dispositioner. Hvis ikke denne forudsætning er til stede, vil der ikke være hjemmel til at foretage udlodningsbeskatning i medfør af ligningslovens § 16a.
Der kan ligeledes henvises til Østre Landsrets dom af den 14. november 2014 offentliggjort i SKM 2014.823.ØLR.
Denne sag drejede sig om, hvorvidt S som eneanpartshaver i selskabet A ApS skulle udlodningsbeskattes af midler, som han havde hævet kontant på selskabets konto og oprindeligt bogført som sin gæld til selskabet. De hævede beløb blev senere omposteret til og selvangivet som selskabets udgifter til fremmed arbejde. Skattemyndighederne havde ikke godkendt udgifterne som fradragsberettigede for selskabet og havde som følge heraf beskattet S af beløbene som maskeret udlodning.
Landsretten fandt ikke, at fakturaerne fra den af S' far drevne virksomhed i Y5-land, C Ltd., kunne anses for at dække over reelle forhold, og da S' hævninger var sket med runde beløb, der ikke sås at have nærmere sammenhæng med konkrete lønudgifter, og da S i øvrigt ikke havde dokumenteret eller sandsynliggjort størrelsen af de afholdte udgifter, stadfæstede landsretten byrettens dom på dette punkt.
I modsætning til byretten fandt landsretten det imidlertid efter bevisførelsen godtgjort, at A ApS i forbindelse med det af selskabet udfakturerede og betalte løsnings- og lastningsarbejde måtte have udgifter til arbejdsløn, som klart oversteg de beskedne personaleomkostninger i A ApS' årsrapporter for 2006 og 2007. Landsretten fandt endvidere, at der ikke var oplysninger i sagen, om at andre end A ApS kunne have afholdt udgifter til arbejdsløn i forbindelse med det udførte arbejde. Østre Landsret anså det på denne baggrund for godtgjort, at S i et eller andet omfang havde anvendt de hævede beløb til betaling af lønninger i selskabets interesse - uanset at der i sagen ikke var oplysninger om identiteten på de personer, som havde været antaget til at udføre lastnings- og løsningsarbejde for C Ltd.
Følgende fremgår bl.a. af landsrettens begrundelse og resultat;
"Det må imidlertid efter bevisførelsen anses for godtgjort at A ApS i forbindelse med det ufakturerede og betalte løsnings- og lastningsarbejde må have haft udgifter til arbejdsløn, som klart overstiger de beskedne personaleomkostninger i ApS‘ årsrapporter for 2006 og 2007.
Der er ikke oplysninger i sagen om, at andre end A ApS kan have afholdt udgifter til arbejdsløn i forbindelse med det udførte arbejde, og det anses på den baggrund godtgjort, at appellanten i et eller andet omfang har anvendt de hævede beløb til betaling af lønninger i selskabets interesse.
…
Skattemyndighederne bør herefter foretage en ansættelse af de beløb, som appellantens maskerede udbytter for indkomstårene 2006 og 2007 bør reduceres med i anledning af hans afholdelse af skønnede udgifter til løn. Appellantens subsidiære påstand tages derfor til følge."
Ovennævnte praksis illustrerer med al tydelighed, at det forhold, at selskabet nægtes fradragsret for en given udgift, ikke automatisk medfører, at der tillige er grundlag for at statuere maskeret udlodning, idet udgiften godt kan være afholdt i selskabets egen interesse, uanset at udgiften ikke konkret opfylder kravene til at være en fradragsberettiget driftsomkostning.
På tilsvarende vis som i de ovennævnte refererede domme, herunder SKM2014.823.ØLR, må det anses for godtgjort, at de hævede midler fra selskabets konto er blevet anvendt til selskabets forretningsmæssige udgifter. Dette understøttes konkret af, at G1 ApS ikke havde kapacitet til at udføre samtlige ordrer fra selskabets kunder, G4 A/S og G6 ApS.
I denne forbindelse bemærkes, at SKAT ikke i nærværende sag et fremkommet med nærmere dokumentation, som godtgør eller blot sandsynliggør - at A har er hvervet ret til de midler, der blev overført fra selskabets konto til diverse virksomheder og vekselbureauer. Tværtimod må det have formodningen imod sig, at A skulle have rådighed over disse konti, ligesom det findes vanskeligt at se, hvilken personlig interesse han ville have i at foretage de pågældende transaktioner.
I overensstemmelse med praksis på området må der i nærværende sag udvises forsigtighed i forhold til at statuere maskeret udlodning, ud fra det forhold at udgifterne til G2 ApS ikke findes tilstrækkeligt dokumenterede/sandsynliggjorte. Det gøres gældende, at dette i særdeleshed skal ske under de omstændigheder, som er til stede i nærværende sag, hvor udgifterne til G2 ApS i stort omfang kan dokumenteres via fakturer, erklæringer og samarbejdskontrakter mv. Som følge af det ovenfor anførte er det vores opfattelse, at de pågældende beløb blev afholdt i selskabets interesse, hvorfor der således ikke er grundlag for at beskatte A af maskeret udlodning i medfør af ligningslovens § 16a, stk. 1."
Landsskatterettens afgørelse
Ved opgørelsen af den skattepligtige indkomst medregnes udbytte af aktier, andelsbeviser og lignende værdipapirer, jf. dog stk. 4. Det fremgår af ligningslovens § 16 A, stk. 1.
Af bestemmelsens stk. 2, fremgår, at udgangspunktet er, at der til udbytte henregnes alt, hvad der af selskabet udloddes til aktuelle aktionærer eller andelshavere.
Beløb, der overføres fra selskabet til anpartshaveren, og som skatteretligt må anses for udbytte, men som selskabet og anpartshaveren har givet en anden betegnelse for at opnå en gunstigere skattemæssig stilling, benævnes maskeret udbytte.
For anpartshaveren sker forhøjelsen med hjemmel i ligningslovens § 16A, stk. 1. Er overførslen ikke indtægtsført hos anpartshaveren, må der ske en forhøjelse med yderligere aktieudbytte svarende til overførslens størrelse. Maskeret udbytte skal derfor som udgangspunkt beskattes som aktieindkomst hos anpartshaveren, jf. personskattelovens § 4a, stk., 1, nr. 1.
SKAT har opgjort, at selskabet har udbetalt et beløb på i alt 2.961.318 kr., fordelt på indkomstårene 2010 og 2011 med henholdsvis 583.959 kr. og 2.377.359 kr.
Landsskatteretten har ved afgørelse af samme dato som nærværende stadfæstet SKATs afgørelse, hvormed selskabet ikke kan få fradrag for udgifter til fremmed arbejde.
Selskabet har ikke dokumenteret eller tilstrækkelig sandsynliggjort, at beløbene er overført til G2 ApS som betaling for udført arbejde for G1 ApS. Der er lagt afgørende vægt på, at pengestrømmene fra G1 ApS til G2 ApS ikke kan følges, og at overførslerne er sket til andre end G2 ApS, der er udsteder af fakturaerne.
Overførslerne er således ikke begrundet i selskabets erhvervsmæssige aktivitet, og de må derfor anses at være overført til klageren personligt som hovedanpartshaver i G1 ApS.
I kraft af at klageren er hovedanpartshaver i G1 ApS og således har bestemmende indflydelse på selskabets dispositioner, må de udbetalte beløb på samlet 2.961.318 kr. fordelt på indkomstårene 2010 og 2011 med henholdsvis 583.959 kr. og 2.377.359 kr. anses for maskeret udbytte til klageren i medfør af ligningslovens § 16 A, stk. 2, nr. 1.
SKATs afgørelse stadfæstes derfor.
…"
Forklaringer
Der er afgivet forklaring af A, PH, PM og OA.
A har forklaret, at G1 ApS blev stiftet af hans far. Han var ansat. Han arbejdede samtidig i G11 frem til ultimo 2010. Det var hans far, der ønskede, at han skulle overtage forretningen. Han havde ikke forudsætninger for at drive et selskab.
G1 ApS stod for pakkekørsel og kørte aviser til kiosker, privatkunder, firmaer, banker, lufthavn mv. G1 ApS var underleverandør til G6 ApS og G4 A/S. Der var en ansat, der stod for pakningen, når underleverandørerne kom for at hente varerne. Han havde også en cafe, der blev drevet under G1 ApS. Der var to eller tre ansatte, der pakkede sagerne og gjorde det klar til vognmændene. Der var også ansatte i cafeen. Der var fem til seks medarbejdere i alt, der var enten fuldtids- eller deltidsansat. Selskabet brugte også underleverandører. De havde forskellige underleverandører. I 2010 og 2011 brugte selskabet KD selskab som underleverandør. Han kørte en stor del af pakkerne for selskabet i denne periode. Selskabet havde også andre underleverandører. Han husker ikke navnet på de andre firmaer. I 2010 og 2011 var det kun KD, der arbejdede som underleverandør for selskabet. KD kom hver morgen. Der skulle uddeles 2-3.000 aviser om dagen. Han kørte for G4 A/S og G6 ApS.
Han modtog fakturaerne om morgenen, når de kom. Fakturaerne blev leveret i en kuvert. Han betalte fakturaerne fra G2 ved at gå i banken eller via netbank. Han mener, at han aldrig har betalt kontant. Han kontaktede KD, da han så, at der ikke var kontonummer på fakturaen. Han lagde ikke mærke til, at det var forskellige kontonumre, han fik oplyst. Han har tillid til folk, og han havde ikke fornemmelse af, at betalingerne ikke gik til G2. Han blev på et tidspunkt opmærksom på, at det var forskellige kontonumre, han havde fået oplyst de sidste 2-3 gange. KD sagde, at det var fordi, der også var et bilfirma, og det var, som det skulle være. Han sagde til KD, at han hele tiden glemte at anføre kontonummeret, og at han ville betale til det samme kontonummer. Så gik der et par måneder, og så stoppede samarbejdet. Han blev træt af, at KD hele tiden kom med undskyldninger.
R1 var hans revisionsselskab. Han var ny som selvstændig. Han rådførte sig med sin revisor, der oplyste, at de havde en klientkonto, og at de kunne stå for administrationen med at betale regningerne og afregne moms mv.
Der var et eller to tilfælde, hvor han betalte regningen på netbank, hvor overførslen ikke gik igennem, efter han havde indtastet det kontonummer, der fremgik af fakturaen. Han kontaktede KD, der oplyste, at det kunne være, banken havde lukket kontoen, eller at de havde skrevet et forkert kontonummer. Han var ikke opmærksom på, at det kontonummer, der fremgår af to af fakturaerne, var R1' kontonummer. Revisoren og KD kendte hinanden.
Han har ikke kendskab til de vekselbureauer eller andre virksomheder, som pengene er indbetalt til. Han betalte bare ind på de konti, han fik oplyst. Banken ville ikke oplyse, hvem de oplyste kontonumre tilhørte.
Han havde ikke mistanke om, at pengene gik til andre end G2 ApS. Han kunne ikke stoppe samarbejde med G2 ApS, da han ikke havde andre underleverandører. Han burde måske have haft mere styr på det. Det er ham, der har overført pengene, men det var ikke for at snyde nogen.
PM har forklaret, at hun var ansat i G4 A/S i kundeserviceafdelingen. Hun oprettede abonnenter og lavede rutebøger. Hun har set A før. Han var vognmand og kørte nogle af ruterne for G4 A/S. Han havde ansatte til at køre nogle af ruterne. G1 ApS kørte mange ruter, herunder 2-4 ruter i indre by og en lang rute sydpå. Der må have været en person til at dække hver rute. En almindelig rute svarer til et dagsarbejde. G1 ApS må have haft femseks personer til at dække ruterne. Derudover var der ruten til lufthavnen, som A kørte selv. Navnet KD Kuluszek siger hende ikke så meget, men A havde en underleverandør.
PH har forklaret, at hun var ansat i G4 A/S som serviceleder. De planlagde den daglige distribution. Hun kender A, fra da han var ansat hos dem som chauffør. Han overtog senere en større rolle og overgik til at være vognmand for G4 A/S. Til at starte med havde A cykelruterne i indre by. Der er fem cykelruter. Der skal tre mand til at dække de tidlige ruter. Han kom også med over i to yderligere ruter. Herudover er der de ruter, hvor man henter aviser i lufthavnen. Der skulle i hvert fem personer til at dække de ruter, G1 ApS skulle stå for og i nogle tilfælde en sjette mand til en specialtur til lufthavnen. På et tidspunkt fik A også andre interesser og han fik mere arbejde for G4 A/S, og han kunne ikke dække alt arbejdet. Hun er bekendt med, at A har benyttet vognmænd som underleverandører. Hun kan måske genkende KD, hvis hun så ham, men hun husker ikke lige navnet.
Parternes synspunkter
A har i sit påstandsdokument anført følgende:
"…
ANBRINGENDER
Det gøres overordnet gældende, at der ikke er grundlag for at beskatte sagsøgeren af maskeret udlodning i medfør af ligningslovens § 16 A, stk.1, idet de omtvistede beløb i alle tilfælde er foretaget i selskabets interesse og ikke i sagsøgerens personlige interesse, og at de foretagne overførsler under ingen omstændigheder kan anses for at have "passeret sagsøgerens økonomi" som følge af hans aktionærstatus i Selskabet.
Det fremgår af SKATs afgørelse, at SKAT har nægtet fradrag for Selskabets udgifter til fremmed arbejde. Dette er sket med henvisning til, at SKAT ikke har fundet det tilstrækkeligt dokumenteret eller sandsynliggjort, at G2 ApS har udført reelt arbejde i henhold til de udstedte fakturaer eller de øvrige beløb, der er fratrukket i Selskabet som udgifter til G2 ApS.
Sagsøgeren ville ikke alene med Selskabets øvrige ansatte kunne have kørt de ruter, han skulle køre for G4 A/S A/S og G6 ApS uden at have gjort brug af en underentreprenør. Dette vil blive belyst ved forklaringer fra de i sagen indkaldte vidner.
Hertil skal det understreges, at samtlige af de foretagne betalinger til G2 ApS er blevet overført direkte fra Selskabets konti i F1-bank og F2-bank til en række kontonumre, hvilket er sket i overensstemmelse med de anvisninger, som Selskabet fik fra G2 ApS.
Herudover gøres det gældende, at der foreligger fortløbende fakturaer (samt enkelte bogføringsbilag), som er udstedt af G2 ApS, og som alle stemmer overens med de elektroniske overførsler, som fremgår af Selskabets kontoudtog fra F1-bank og F2-bank, hvorfor der må være en stærk formodning for, at disse overførsler også reelt dækker over betaling til G2 ApS.
Yderlige bemærkes at udgifterne til G2 ApS er bogført i selskabets årsregnskab både hvad angår skat og moms.
Sammenfattende gøres det derfor gældende, at der utvivlsomt er sket levering af den arbejdsydelse, der knytter sig til fakturaerne.
Manglende fradragsret statuerer ikke automatisk maskeret udbytte
Det faktum at SKAT har nægtet Selskabet fradrag for udgifterne til G2 ApS, skal ikke automatisk medføre, at sagsøgeren skal beskattes af beløbene som maskeret udbytte.
SKATs begrundelse for at anse sagsøgeren for skattepligtig af beløbene som maskeret udbytte, forekommer alene at være begrundet i, at SKAT har nægtet Selskabet fradrag for udgifter til fremmed arbejde, hvorefter beløbet efter SKATs opfattelse kun kan anses for udloddet til sagsøgeren som selskabets anpartshaver. SKAT forekommer herved at sætte lighedstegn mellem den manglende fradragsret i Selskabet og beskatningen af sagsøgeren som eneanpartshaver.
En sådan slutning har ikke hjemmel i dansk skatteret, hvilket konkret understøttes af det anførte i SKM.2011.518. BR, hvoraf det med al tydelighed fremgår, at der skal foretages en konkret vurdering i hver enkelt sag, og at man ikke kan drage den slutning, at blot fordi der nægtes fradrag for en udgift, at dette også skal medføre, at hovedaktionær skal beskattes af udgiften som maskeret udlodning.
Til yderligere støtte herfor kan fremhæves TfS 2011,731, TfS 2015,72 samt Landsskatterettens afgørelse af 2. februar 2017, journalnummer 140432261.
Til trods for dette, lader det til, at sagsøgte drager denne fejlslutning, i det sagsøgte anfører i svarskriftet, side 13, at "Netop fordi det beror på [sagsøgerens] indflydelse i kraft af sin status som hovedanpartshaver, at de foretagne betalinger er "trukket ud" af selskabet, har de foretagne betalinger "passeret hans økonomi".
Bevisbyrde
Det helt klare udgangspunkt er, at skattemyndighederne har bevisbyrden i sager, hvor skattemyndighederne statuerer maskeret udbytte.
I denne sag har SKAT ikke løftet bevisbyrden for, at de pågældende overførsler har passeret sagsøgerens økonomi.
Tværtimod må der være en stærk formodning for, at elektroniske overførsler foretaget fra selskabets konto, som understøttes af diverse fakturaer og udgiftsbilag, reelt er foretaget i Selskabets interesse.
De pågældende overførsler til en række forskellige vekselbureauer mv. har ingen relation til sagsøgeren. SKAT har heller ikke på nogen måde sandsynliggjort nogen tilknytning til de kontohavere, der har modtaget de overførte beløb. Der er derfor intet grundlag for at drage den konklusion, at beløbene har passeret sagsøgerens økonomi, da der ikke er noget grundlag for at anse disse overførsler for at være udført i sagsøgerens personlige og økonomiske interesse.
I nærværende sag har SKAT ikke på nogen måde sandsynliggjort, at motiverne for de foretagne overførsler til en række konti og vekselbureauer på baggrund af de udstedte fakturaer fra G2 ApS, skulle vedrøre andet end betaling for udført arbejde af G2 ApS.
SKAT har heller ikke på nogen måde godtgjort - eller blot sandsynliggjort - at sagsøgeren havde rådighed over de konti herunder vekselbureauer, der blev overført til, som sagsøgeren åbenlyst ikke har nogen nærmere relation til. Eller blot som minimum dokumenteret en eller anden relation, der kan sandsynliggøre, at beløbene har "passeret sagsøgerens økonomi".
SKATs undersøgelsespligt
SKAT er som en offentlig forvaltningsmyndighed omfattet af officialmaksimen.
I nærværende sag har SKAT som forvaltningsmyndighed adgang til at undersøge ejerforholdene i relation til de konti og vekselbureauer, som Selskabet foretog overførsler til. SKAT har således ikke kun været nærmest - men den eneste - til at tilvejebringe og sikre sig den relevante dokumentation.
SKAT har ikke foretaget andre undersøgelse end at henvende sig til Selskabets banker, F1-bank og F2-bank (bilag 15). Hvilket er ubestridt i sagen.
Netop fordi der er tale om elektroniske overførsler, ville det have været muligt uden større ulempe for SKAT at undersøge disse transaktioner ved for eksempel at rette henvendelse til G7 og bede dem om oplysninger om den videre overførsel for de overførsler, revisionsfirmaet har modtaget med henblik på at klarlægge, hvem der endeligt havde modtaget pengene.
SKAT kunne også have rettet henvendelse til de respektive vekselbureauer og bedt disse om oplysninger på, hvor de af Selskabet indsatte beløb er overført til.
SKAT kunne også have undersøgt yderligere om de oplysninger, SKAT modtog fra NB, F2-bank (bilag 15).
Ingen af disse undersøgelser har SKAT foretaget.
SKAT har således stillet sig tilfreds med de oplysninger, SKAT havde modtaget fra F1-bank og F2-bank uden at finde anledning til at forfølge transaktionssporet yderligere. Det faktum, at der forelå fakturaer, hvor både beløb og dato passede med overførslerne, og at G2 ApS havde erklæret, at have modtaget beløbene burde have foranlediget yderligere undersøgelser hos SKAT, da dette vidner om en vis realitet bag overførslerne, som minimum burde have ansporet SKAT til yderligere undersøgelser.
SKAT har altså som den eneste af parterne haft mulighed for at undersøge transaktionssporet for de elektroniske overførsler. I hvert fald ville SKAT som minimum kunne have fået oplysninger om videreoverførslerne for så vidt angår de overførsler, der er foretaget til vekselbureauerne og til R2.
SKAT har således truffet afgørelse om, at sagsøgeren skal beskattes af overførslerne som maskeret udbytte uden, at sagsøgeren har kunne påvise, at beløbene ikke er tilgået ham al den stund, at sagsøgeren som almindelig borger ikke har mulighed for at tilvejebringe oplysninger om, hvem der endeligt har modtaget de overførte beløb. Det bemærkes hertil, at banker ikke oplyser om, hvem der er kontohaver af et givent kontonummer, heller ikke til den, der har foretaget overførslen. Det er derfor SKATs risiko, at disse undersøgelser ikke er lavet, og således også SKATs byrde at bevise, at beløbene har "passeret sagsøgerens økonomi" således, at det har været berettiget at beskatte ham af overførslerne som maskeret udlodning. Herunder specielt henset til de meget væsentlige beløb, sagsøgeren og Selskabet har fået forhøjet deres respektive skattepligtige indkomster med som følge af SKATs afgørelser.
Det bemærkes, at der i forbindelse med denne retssag er forsøgt at spore transaktionssporet for overførslerne. For så vidt angå alle vekselbureauerne så er de lukkede på nær en enkel, som har skiftet ejer og derfor ikke råder over oplysninger for 2011. G14 eksisterer stadig, men er ikke længere i besiddelse af oplysninger, der kan klarlægge det videre transaktionsspor for overførslerne. G7 er lukket som følge af konkurs, og det har derfor heller ikke været muligt at fremskaffe oplysninger, om de overførsler, der er tilgået revisionsfirmaet.
På baggrund af ovenstående gøres det derfor afslutningsvis gældende, at SKAT ikke har løftet bevisbyrden for, at de omstridte overførsler har passeret sagsøgerens økonomi, hvorfor den foretagne forhøjelse af sagsøgerens skattepligtige indkomst for indkomstårene 2010 og 2011 i henhold til reglerne om maskeret udbytte er uberettiget.
…"
Skatteministeriet Departementet har i sit påstandsdokument anført følgende:
"…
3. SKATTEMINISTERIETS ANBRINGENDER
Af ligningslovens § 16 A, stk. 1, fremgår det, at der ved opgørelsen af den skattepligtige indkomst medregnes udbytte af aktier, andelsbeviser og lignende værdipapirer.
Af bestemmelsens stk. 2 fremgår det, at udgangspunktet er, at der til udbytte henregnes alt, hvad der af selskabet udloddes til aktuelle aktionærer eller andelshavere.
Til støtte for frifindelsespåstanden gøres det overordnet gældende, at de ikke-fradragsberettigede udgifter på i alt kr. 2.961.318,-, som selskabet, G1 ApS, har afholdt, reelt må anses for at være afholdt til varetagelsen af As' personlige - og dermed selskabet uvedkommende - interesser. Udbetalingerne udgør derfor skattepligtige udlodninger til A, jf. ligningslovens § 16 A.
Afholdelsen af de i sagen omhandlede udgifter er alene kommet i stand på grund af As' status som hovedanpartshaver i selskabet. A er derfor skattepligtig af hele det udbytte, der er "trukket ud" af selskabet ved betalingerne.
Netop fordi det beror på As' indflydelse i kraft af sin status som hovedanpartshaver, at de foretagne betalinger er "trukket ud" af selskabet, har de foretagne betalinger "passeret hans økonomi". En anpartshaver eller aktionær kan ikke slippe for udlodningsbeskatning ved at dirigere det udloddede udbytte eller en del af beløbet videre til andre, jf. eksempelvis UfR 2008.1199 H.
Ligningslovens § 16 A stiller således ikke krav om, at det beløb, som en anpartshaver eller aktionær formår udbetalt, skal komme vedkommende personligt til gode på den måde, at det eksempelvis indsættes på hans konto. Der opstilles alene et krav om, at aktionæren/anpartshaveren via sin indflydelse i det pågældende selskab har forårsaget eller lader andre forårsage, at et beløb er trukket ud af selskabet og anvendt til et for selskabet uvedkommende formål, hvilket er sket i denne sag. Herved bliver aktionærens/anpartshaverens personlige interesse også tilgodeset på bekostning af selskabets.
A har gjort gældende, at det af skattemyndighederne opgjorte beløb på i alt kr. 2.961.318,- udgør fradragsberettigede udgifter.
Det er A, der har bevisbyrden for, at udgifterne, som A er blevet beskattet af som maskeret udlodning, har været fradragsberettigede udgifter for selskabet i henhold til statsskattelovens § 6, stk. 1, litra a, herunder at udgifterne har haft en sådan konkret og direkte tilknytning til selskabets indkomsterhvervelse, at disse kan anses for at være erhvervsmæssige udgifter, jf. UfR 2004.1516 H og UfR 2007.2379 H.
Under de foreliggende omstændigheder, hvor der er konstateret betydelige uregelmæssigheder i selskabets bogføring - en decideret mangelfuld bogføring - må A føre et sikkert bevis for, at de udbetalte beløb ikke er tilgået ham som maskeret udlodning, jf. UfR 2002.2633 H.
Dette gør sig så meget desto mere gældende, når der foreligger usædvanlige omstændigheder omkring betalingerne, hvilken er tilfældet for de i sagen omhandlede udbetalinger.
Det bestrides, at de fremlagte fakturaer, jf. bilag 9, og udgiftsbilag, jf. bilag 10, udgør et sådant sikkert bevis.
Af de fremlagte udgiftsbilag, jf. bilag 10, fremgår således ikke, hvad udgiften dækker over, der er ikke anført et kontonr., hvortil betaling skulle være sket, og på udgiftsbilag 768 (bilag 10b) og 933 (bilag 10c) er der end ikke oplysninger om en eventuel modtager af beløbene.
Det bestrides desuden, at de fremlagte fakturaer, jf. bilag 9, godtgør, at der er tale om fradragsberettigede udgifter.
Det af skattemyndighederne opgjorte beløb på i alt kr. 2.961.318,- er udbetalt til forskellige konti, der blandt andet ejes af en række vekselbureauer samt selskabets revisor. Derudover er der foretaget en række overførsler og kontante hævninger, hvor modtageren af beløbene ikke er kendt.
Pengestrømmene fra G1 ApS til G2 ApS kan således ikke følges. Det kan derimod konstateres, at overførslerne i alle tilfælde er sket til andre end G2 ApS, som var udstederen af fakturaerne.
Det er således ikke godtgjort, at overførslerne er begrundet i selskabets erhvervsmæssige aktivitet.
Det bemærkes i den forbindelse, at det heller ikke er godtgjort, at G2 ApS overhovedet har udført arbejde modsvarende de udstedte fakturaer eller de beløb i øvrigt, G1 ApS har fratrukket som fremmed arbejde.
A har over for Landsskatteretten forklaret, at selskabet har foretaget betalinger til G2 ApS i overensstemmelse med anvisningerne på de udstedte fakturaer, jf. bilag D og bilag 1, side 10, nederst.
Dette er ikke korrekt.
Modtagerne af pengene stemmer ikke overens med, hvad der fremgår af fakturaerne, og det er ikke dokumenteret, hvem modtagerne af pengene er. De foreliggende fakturaer understøtter derfor ikke, at der er tale om opkrævning af beløb for udført arbejde. Tværtimod.
Hertil kommer, at det for hovedparten af det påståede arbejde udført af G2 ApS ikke er muligt at genfinde de omhandlede ruter i de fremlagte fakturaer fra G1 ApS.
Eftersom beløbene ubestridt ikke er gået til modtagerens - G2 ApS' - konto, men derimod overført til en række forskellige konti, der bl.a. tilhører vekselbureauer og lignende, har A endvidere ikke dokumenteret, at han ikke selv har modtaget beløbene.
Endelig udgør den fremlagte udaterede erklæring (bilag 14) fra direktør i G2 ApS, KD, heller ikke sikkert bevis for, at udbetalingerne har karakter af erhvervsmæssige udgifter.
Udbetalingerne beror således på As' indflydelse i kraft af sin status som hovedanpartshaver, og de udbetalte beløb på i alt kr. 2.961.318,- må derfor anses for maskeret udbytte i medfør af ligningslovens § 16 A, stk. 2, nr. 1.
A gør gældende, at SKAT ikke har iagttaget deres undersøgelsespligt.
Det bestrides.
SKAT foretog således undersøgelser med henblik på at belyse transaktionssporet og tog i den forbindelse kontakt til F2-bank og F1-bank, jf. bl.a. bilag 15.
Som nævnt ovenfor er det imidlertid under alle omstændigheder A, der bærer bevisbyrden for, at de i sagen omhandlede hævninger på JH Partner ApS' bankkonti ikke er tilgået ham som maskeret udlodning, SKM2008.85.HR, og de særlige - og usædvanlige - forhold ved kontanthævningerne og overførslerne, som skete til en række forskellige konti, burde så meget desto mere have foranlediget A til at sikre sig dokumentation for transaktionssporet.
Desuden bestrides det af A i processkrift 1, side 13, anførte om, at "SKAT som den eneste af parterne haft mulighed for at undersøge transaktionssporet for de elektroniske overførsler".
A har haft mulighed for at sikre en fyldestgørende løbende bogføring allerede på tidspunktet for udbetalingerne. Derudover har han også haft rig lejlighed til efterfølgende - herunder da sagen verserede for SKAT og efterfølgende Landsskatteretten - at indhente dokumentation for dispositionerne foretaget i det selskab, hvori han selv var direktør og hovedanpartshaver. I den forbindelse bemærkes det, at A, da SKAT traf afgørelse i sagen den 17. maj 2013, jf. bilag A, var repræsenteret ved advokat. Det fremgår af afgørelsen, jf. bilag A, side 8, at:
"R1 anfører i brev til SKAT af 6. maj 2013, at de er afgørende uenige i SKATs forslag, uden at indsende yderligere dokumentation, eller begrunde dette nærmere."
…"
Parterne har under hovedforhandlingen nærmere redegjort for deres opfattelse af sagen.
Rettens begrundelse og resultat
Ved Landsskatterettens afgørelse af 12. april 2017 er det fastslået, at G1 ApS for indkomstårene 2011 ikke havde fradragsret for beløb, som selskabet havde fratrukket som udgifter til fremmed arbejde vedrørende G2 ApS. Denne afgørelse er endelig.
Udgangspunktet er herefter, at de ikke fradragsberettigede udbetalinger, som G1 ApS har afholdt, skal anses som maskeret udlodning til A, jf. ligningslovens § 16 A, stk. 1, medmindre det dokumenteres, at udgifterne angår G1 ApS.
Da A var direktør og hovedanpartshaver for G1 ApS i den relevante periode, har han bevisbyrden for, at de omhandlende udbetalinger er medgået til selskabets drift. Henset til at flere beløb svarende til det samlede beløb, hvormed SKAT har forhøjet As skattepligtige indkomst, er overført til andre end G2 ApS, der er udsteder af fakturaerne, og henset til uregelmæssighederne i bogføringsbilagene, finder retten, at beviskravet for, at der ikke er sket maskeret udlodning til A, er skærpet.
Efter en samlet vurdering af bevisførelsen, herunder vidneforklaringerne, finder retten, at A ikke har dokumenteret eller tilstrækkelig sandsynliggjort, at G2 ApS har udført arbejde modsvarende de udstedte fakturaer eller de beløb i øvrigt, som G1 ApS havde fratrukket som fremmed arbejde til G2 ApS. Retten har herved navnlig lagt vægt på, at det ikke er dokumenteret, at udbetalingerne er tilgået G2 ApS. Retten har endvidere lagt vægt på, at der ikke er ført objektive beviser, der underbygger, at der var realitet bag fakturaerne. Retten bemærker i den forbindelse, at G2 ApS' direktør KD ikke har afgivet forklaring for retten. Retten bemærker endvidere, at fakturaerne ikke godtgør, at der er en sammenhæng mellem de ydelser, G1 ApS leverede til G4 A/S, og de ydelser, som G2 ApS leverede til G1 ApS, eller at de ydelser, der er forklaret om af vidnerne, vedrører det arbejde, der er faktureret fra G2 ApS.
Retten finder det herefter ikke godtgjort, at de omhandlede udbetalinger er medgået til dækning af selskabets udgifter eller anvendt i selskabets interesse. Retten tiltræder på den baggrund, at udbetalingerne må anses for reelt at være afholdt til varetagelsen af As personlige interesser som direktør og hovedanpartshaver i G1 ApS.
På den baggrund har skattemyndighederne med rette forhøjet As skattepligtige indkomst for indkomstårene 2010 og 2011 som sket, og Skatteministeriet frifindes derfor.
Sagsomkostningerne er efter sagens værdi, forløb og udfald fastsat til dækning af advokatudgift med 100.000 kr. Skatteministeriet er ikke momsregistreret.
THI KENDES FOR RET:
Skatteministeriet frifindes.
A skal inden 14 dage til Skatteministeriet betale sagsomkostninger med 100.000 kr.
Sagsomkostningerne forrentes efter rentelovens § 8 a.